中3数学 春休みの計算 第9回 全28問
ページがちゃんと表示されるまで$10$秒くらいかかります。印刷するときは、ちょっと待ってからにしてください。
$ \boxed{\phantom{ho}}$←ここに四角形が表示されていたら準備OKです。
問題をクリックすると答えがでます。
① $(-8)+(-7)\times(-9)$
答え $-55$
\begin{eqnarray*} &&(-8)+(-7)\times(-9)\\ &=&-8-7\times(-9)\\ &=&-8+63\\ &=&-55 \end{eqnarray*}② $-\cfrac{8}{9}+1-\cfrac{5}{8}$
答え $-\cfrac{37}{72}$
\begin{eqnarray*} &&-\cfrac{8}{9}+1-\cfrac{5}{8}\\ &=&-\cfrac{64}{72}+\cfrac{72}{72}-\cfrac{45}{72}\\ &=&-\cfrac{37}{72} \end{eqnarray*}③ $-(-4)^3\times(-1)^2$
答え $64$
\begin{eqnarray*} &&-(-4)^3\times(-1)^2\\ &=&64\times1\\ &=&64 \end{eqnarray*}④ $-(6x+4y)-(13x-17y)$
答え $-19x+13y$
\begin{eqnarray*} &&-6x-4y-13x+17y\\ &=&-6x-13x-4y+17y\\ &=&-19x+13y \end{eqnarray*}⑤ $\left(-2a^2-\cfrac{5}{3}a\right)-\left(-\cfrac{5}{4}a^2-\cfrac{4}{5}a\right)$
答え $-\cfrac{3}{4}a^2-\cfrac{13}{15}a$
\begin{eqnarray*} &&-2a^2-\cfrac{5}{3}a+\cfrac{5}{4}a^2+\cfrac{4}{5}a\\ &=&-2a^2+\cfrac{5}{4}a^2-\cfrac{5}{3}a+\cfrac{4}{5}a\\ &=&-\cfrac{8}{4}a^2+\cfrac{5}{4}a^2-\cfrac{25}{15}a+\cfrac{12}{15}a\\ &=&-\cfrac{3}{4}a^2-\cfrac{13}{15}a \end{eqnarray*}⑥ $(72a^2-108a-9)\div9$
答え $8a^2-12a-1$
⑦ $(15x-60y)\div\left(-\cfrac{15}{2}\right)$
答え $-2x+8y$
\begin{eqnarray*} &&(15x-60y)\times\left(-\cfrac{2}{15}\right)\\ &=&-2x+8y \end{eqnarray*}⑧ $3(x-5y)-2(6x+7y)$
答え $-9x-29y$
\begin{eqnarray*} &&3x-15y-12x-14y\\ &=&3x-12x-15y-14y\\ &=&-9x-29y \end{eqnarray*}⑨ $\cfrac{7}{6}(42x-18y)-\cfrac{8}{3}(15x+9y)$
答え $9x-45y$
\begin{eqnarray*} &&49x-21y-40x-24y\\ &=&49x-40x-21y-24y\\ &=&9x-45y \end{eqnarray*}⑩ $\cfrac{x-2y}{6}-\cfrac{x-3y}{5}$
答え $\cfrac{-x+8y}{30}\\\quad\left(-\cfrac{x-8y}{30},-\cfrac{1}{30}x+\cfrac{4}{15}yも可\right)$
\begin{eqnarray*} &&\cfrac{5(x-2y)-6(x-3y)}{30}\\ &=&\cfrac{5x-10y-6x+18y}{30}\\ &=&\cfrac{5x-10y-6x+18y}{30}\\ &=&\cfrac{-x+8y}{30} \end{eqnarray*}⑪ $(-2x)^2\times(-2x^3)\times(-2x)^3$
答え $64x^8$
\begin{eqnarray*} &&4x^2\times(-2x^3)\times(-8x^3)\\ &=&64x^8 \end{eqnarray*}⑫ $-15xy\div75x^2y^2\times(-25x^2y)$
答え $5x$
\begin{eqnarray*} &&\cfrac{15xy\times25xxy}{75xxyy}\\ &=&5x \end{eqnarray*}⑬ $4x^2y\div\left(-\cfrac{16}{5}x^3y^2\right)\times(-8x^2)$
答え $\cfrac{10x}{y}$
\begin{eqnarray*} &&\cfrac{4xxy}{1}\times\left(-\cfrac{5}{16xxxyy}\right)\times\left(-\cfrac{8xx}{1}\right)\\ &=&\cfrac{10x}{y} \end{eqnarray*}⑭ $(x+3)(x-5)$
答え $x^2-2x-15$
\begin{eqnarray*} &&x^2+(3-5)x+3\times(-5)\\ &=&x^2-2x-15 \end{eqnarray*}⑮ $(x-9)^2$
答え $x^2-18x+81$
\begin{eqnarray*} &&x^2+2 \times x \times(-9)+(-9)^2\\ &=&x^2-18x+81 \end{eqnarray*}⑯ $(x+10)(x-10)$
答え $x^2-100$
\begin{eqnarray*} &&(x)^2-(10)^2\\ &=&x^2-100 \end{eqnarray*}① $-6x+5=4(2x+5)+13$
答え $x=-2$
\begin{eqnarray*} -6x+5&=&4(2x+5)+13\\ -6x+5&=&8x+20+13\\ -6x-8x&=&20+13-5\\ -14x&=&28\\ x&=&-2 \end{eqnarray*}② $-\cfrac{5}{4}x-\cfrac{3}{2}=-2x+3$
答え $x=6$
\begin{eqnarray*} -\cfrac{5}{4}x-\cfrac{3}{2}&=&-2x+3\quad(\times4)\\ -5x-6&=&-8x+12 \\ -5x+8x&=&12+6\\ 3x&=&18\\ x&=&6 \end{eqnarray*}③ $\left\{\begin{array}{l} 5x-4y=3\\ 3x+5(y-16)=-4x+9 \end{array}\right.$
答え $x=7,y=8$
\begin{eqnarray*} \left\{ \begin{array}{l} 5x-4y=3\qquad…①\\ 3x+5(y-16)=-4x+9\qquad…② \end{array} \right. \end{eqnarray*} $②を整理$ \begin{eqnarray*} 3x+5y-80&=&-4x+9\\ 3x+4x+5y&=&9+80\\ 7x+5y&=&89\qquad…③ \end{eqnarray*} $①\times5+③\times4$ \begin{eqnarray*} 25x-20y=\phantom{1}15\\ \underline{+) \quad 28x+20y=356} \\ 53x\phantom{-20y}=371\\ x=7\phantom{11} \end{eqnarray*} \begin{eqnarray*} x=7を①に代入\\ 35-4y&=&3\\ -4y&=&3-35\\ -4y&=&-32\\ y&=&8\\ \\ \left\{ \begin{array}{l} x=7\\ y=8 \end{array} \right. \end{eqnarray*}次の式を$[\phantom{y}]$内の文字について解きなさい。
①
$-3x=12y-16\quad[y]$
答え $y=\cfrac{-3x+16}{12}\\ \left(y=-\cfrac{3x-16}{12}, \ y=-\cfrac{1}{4}x+\cfrac{4}{3}も可\right)$
\begin{eqnarray*} -3x&=&12y-16\quad(左辺と右辺をとりかえる) \\ 12y-16&=&-3x\\ 12y&=&-3x+16\\ y&=&\cfrac{-3x+16}{12} \end{eqnarray*}次の式を$[\phantom{h}]$内の文字について解きなさい。
②
$S=\cfrac{1}{2}ah\quad[h]$
答え $h=\cfrac{2S}{a}$
\begin{eqnarray*} S&=&\cfrac{1}{2}ah\quad(左辺と右辺をとりかえる) \\ \cfrac{1}{2}ah&=&S\quad(両辺に\times2) \\ ah&=&2S \\ h&=&\cfrac{2S}{a} \end{eqnarray*}$x=-\cfrac{3}{8},\ y=-\cfrac{16}{7}$ のとき、次の式の値を求めなさい。
③
$14x^3y^2\div(-2x^2y)$
答え $-6$
\begin{eqnarray*} &&14x^3y^2\div(-2x^2y)\\ &=&-\cfrac{14xxxyy}{2xxy}\\ &=&-7xy\\ &=&-7\times\left(-\cfrac{3}{8}\right)\times\left(-\cfrac{16}{7}\right)\\ &=&-6 \end{eqnarray*}④ $y$ が $x$ に比例し、$x=5$ のとき、$y=-25$ である。$y$ を $x$ の式で表しなさい。
答え $y=-5x$
比例の式の形は $y=ax$ $$a=\cfrac{y}{x}=\cfrac{-25}{5}=-5$$⑤ $y$ が $x$ に反比例し、$x=5$ のとき、$y=-25$ である。$y$ を $x$ の式で表しなさい。
答え $y=-\cfrac{125}{x}$
反比例の式の形は $y=\cfrac{a}{x}$ $$a=x \times y=5\times(-25)=-125$$⑥ 傾きが $\cfrac{1}{4}$ で、点 $(8,\ -3)$ を通る直線の式を求めなさい。
答え $y=\cfrac{1}{4}x-5$
直線の式の形は $y=ax+b$傾きが $\cfrac{1}{4}$ なので$a=\cfrac{1}{4}$
$y=\cfrac{1}{4}x+b$ に $x=8,\ y=-3$ を代入 \begin{eqnarray*} -3&=&\cfrac{1}{4}\times8+b\\ -3&=&2+b\\ -3-2&=&b\\ -5&=&b \end{eqnarray*}
⑦ $2$ 点 $(1,\ 1),\ (5,\ -7)$ を通る直線の式を求めなさい。
答え $y=-2x+3$
直線の式の形は $y=ax+b$ \begin{eqnarray*} a&=&\cfrac{y_2-y_1}{x_2-x_1}\\ &=&\cfrac{-7-1}{5-1}=\cfrac{-8}{4}=-2\\ \end{eqnarray*} $y=-2x+b$ に $x=1,\ y=1$ を代入 \begin{eqnarray*} 1&=&-2+b\\ 1+2&=&b\\ 3&=&b \end{eqnarray*}⑧ $2$ 個のサイコロを投げるとき、出る目の和が $6$ より大きくなる確率を求めなさい。
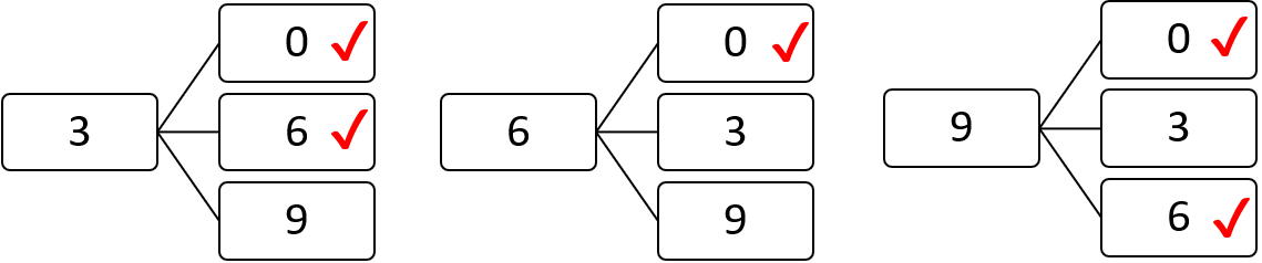
⑨ $\boxed{\large{\ 0\ }}$$\boxed{\large{\ 3\ }}$$\boxed{\large{\ 6\ }}$$\boxed{\large{\ 9\ }}$ と数字のかかれたカードが全部で $4$ 枚ある。この中から $2$ 枚のカードを抜き取ってならべ、$2$ けたの整数をつくるとき、 $6$ の倍数となる確率を求めなさい。
答え
$\boxed{\large{\ 1\ }}①-55②-\cfrac{37}{72}③64④-19x+13y⑤-\cfrac{3}{4}a^2-\cfrac{13}{15}a\\ ⑥8a^2-12a-1⑦-2x+8y⑧-9x-29y⑨9x-45y\\ ⑩\cfrac{-x+8y}{30}\\\quad\left(-\cfrac{x-8y}{30},-\cfrac{1}{30}x+\cfrac{4}{15}yも可\right)\\ ⑪64x^8⑫5x⑬\cfrac{10x}{y}⑭x^2-2x-15\\ ⑮x^2-18x+81⑯x^2-100\\ \boxed{\large{\ 2\ }}①x=-2②x=6③x=7,y=8\\ \boxed{\large{\ 3\ }}①y=\cfrac{-3x+16}{12}\\ \left(y=-\cfrac{3x-16}{12}, \ y=-\cfrac{1}{4}x+\cfrac{4}{3}も可\right)②h=\cfrac{2S}{a}\\ ③-6④y=-5x⑤y=-\cfrac{125}{x}⑥y=\cfrac{1}{4}x-5\\ ⑦y=-2x+3⑧\cfrac{7}{12}⑨\cfrac{5}{9} $

赤でチェックしたところが $6$ の倍数。