中3数学 春休みの計算 第8回 全28問
ページがちゃんと表示されるまで$10$秒くらいかかります。印刷するときは、ちょっと待ってからにしてください。
$ \boxed{\phantom{ho}}$←ここに四角形が表示されていたら準備OKです。
問題をクリックすると答えがでます。
① $(-1)+(-2)\times(-3)$
答え $5$
\begin{eqnarray*} &&(-1)+(-2)\times(-3)\\ &=&-1-2\times(-3)\\ &=&-1+6\\ &=&5 \end{eqnarray*}② $-\cfrac{3}{7}+2-\cfrac{1}{2}$
答え $\cfrac{15}{14}$
\begin{eqnarray*} &&-\cfrac{3}{7}+2-\cfrac{1}{2}\\ &=-&\cfrac{6}{14}+\cfrac{28}{14}-\cfrac{7}{14}\\ &=&\cfrac{15}{14} \end{eqnarray*}③ $-(-2)^3\times(-3)^2$
答え $72$
\begin{eqnarray*} &&-(-2)^3\times(-3)^2\\ &=&8\times9\\ &=&72 \end{eqnarray*}④ $-(6x+4y)-(17x-9y)$
答え $-23x+5y$
\begin{eqnarray*} &&-6x-4y-17x+9y\\ &=&-6x-17x-4y+9y\\ &=&-23x+5y \end{eqnarray*}⑤ $\left(-3a^2-\cfrac{7}{8}a\right)-\left(-\cfrac{5}{2}a^2-\cfrac{4}{7}a\right)$
答え $-\cfrac{1}{2}a^2-\cfrac{17}{56}a$
\begin{eqnarray*} &&-3a^2-\cfrac{7}{8}a+\cfrac{5}{2}a^2+\cfrac{4}{7}a\\ &=&-3a^2+\cfrac{5}{2}a^2-\cfrac{7}{8}a+\cfrac{4}{7}a\\ &=&-\cfrac{6}{2}a^2+\cfrac{5}{2}a^2-\cfrac{49}{56}a+\cfrac{32}{56}a\\ &=&-\cfrac{1}{2}a^2-\cfrac{17}{56}a \end{eqnarray*}⑥ $(36a^2-24a-12)\div12$
答え $3a^2-2a-1$
⑦ $(26x-39y)\div\left(-\cfrac{13}{3}\right)$
答え $-6x+9y$
\begin{eqnarray*} &&(26x-39y)\times\left(-\cfrac{3}{13}\right)\\ &=&-6x+9y \end{eqnarray*}⑧ $5(6x-8y)-4(6x+9y)$
答え $6x-76y$
\begin{eqnarray*} &&30x-40y-24x-36y\\ &=&30x-24x-40y-36y\\ &=&6x-76y \end{eqnarray*}⑨ $\cfrac{3}{7}(49x-14y)-\cfrac{4}{5}(35x+15y)$
答え $-7x-18y$
\begin{eqnarray*} &&21x-6y-28x-12y\\ &=&21x-28x-6y-12y\\ &=&-7x-18y \end{eqnarray*}⑩ $\cfrac{x-3y}{3}-\cfrac{x-3y}{2}$
答え $\cfrac{-x+3y}{6}\\\quad\left(-\cfrac{x-3y}{6},-\cfrac{1}{6}x+\cfrac{1}{2}yも可\right)$
\begin{eqnarray*} &&\cfrac{2(x-3y)-3(x-3y)}{6}\\ &=&\cfrac{2x-6y-3x+9y}{6}\\ &=&\cfrac{2x-3x-6y+9y}{6}\\ &=&\cfrac{-x+3y}{6} \end{eqnarray*}⑪ $(-3x)^2\times(-x^3)\times(-2x)^3$
答え $72x^8$
\begin{eqnarray*} &&9x^2\times(-x^3)\times(-8x^3)\\ &=&72x^8 \end{eqnarray*}⑫ $-24y^2\div48xy^3\times(-16x^2y)$
答え $8x$
\begin{eqnarray*} &&\cfrac{24yy\times16xxy}{48xyyy}\\ &=&8x \end{eqnarray*}⑬ $35xy\div\left(-\cfrac{70}{3}x^3y^2\right)\times(-2xy)$
答え $\cfrac{3}{x}$
\begin{eqnarray*} &&\cfrac{35xy}{1}\times\left(-\cfrac{3}{70xxxyy}\right)\times\left(-\cfrac{2xy}{1}\right)\\ &=&\cfrac{3}{x} \end{eqnarray*}⑭ $(x-9)(x+6)$
答え $x^2-3x-54$
\begin{eqnarray*} &&x^2+(-9+6)x-9\times6\\ &=&x^2-3x-54 \end{eqnarray*}⑮ $(x+8)^2$
答え $x^2+16x+64$
\begin{eqnarray*} &&x^2+2 \times x \times8+8^2\\ &=&x^2+16x+64 \end{eqnarray*}⑯ $(x+9)(x-9)$
答え $x^2-81$
\begin{eqnarray*} &&(x)^2-(9)^2\\ &=&x^2-81 \end{eqnarray*}① $-4x-10=-3(6x+5)-9$
答え $x=-1$
\begin{eqnarray*} -4x-10&=&-3(6x+5)-9\\ -4x-10&=&-18x-15-9\\ -4x+18x&=&-15-9+10\\ 14x&=&-14\\ x&=&-1 \end{eqnarray*}② $-\cfrac{7}{3}x-\cfrac{3}{2}=-x-\cfrac{7}{6}$
答え $x=-\cfrac{1}{4}$
\begin{eqnarray*} -\cfrac{7}{3}x-\cfrac{3}{2}&=&-x-\cfrac{7}{6}\quad(\times6)\\ -14x-9&=&-6x-7 \\ -14x+6x&=&-7+9\\ -8x&=&2\\ x&=&-\cfrac{2}{8}=-\cfrac{1}{4} \end{eqnarray*}③ $\left\{\begin{array}{l} 3x+7y=9\\ 5x+4(y-9)=2y+8 \end{array}\right.$
答え $x=10,y=-3$
\begin{eqnarray*} \left\{ \begin{array}{l} 3x+7y=9\qquad…①\\ 5x+4(y-9)=2y+8\qquad…② \end{array} \right. \end{eqnarray*} $②を整理$ \begin{eqnarray*} 5x+4y-36&=&2y+8\\ 5x+4y-2y&=&8+36\\ 5x+2y&=&44\qquad…③ \end{eqnarray*} $①\times5-③\times3$ \begin{eqnarray*} 15x+35y=\phantom{1}45\\ \underline{-) \quad 15x+6y=132} \\ 29y=-87\\ y=-3\phantom{1} \end{eqnarray*} \begin{eqnarray*} y=-3を①に代入\\ 3x-21&=&9\\ 3x&=&9+21\\ 3x&=&30\\ x&=&10\\ \\ \left\{ \begin{array}{l} x=10\\ y=-3 \end{array} \right. \end{eqnarray*}次の式を$[\phantom{y}]$内の文字について解きなさい。
①
$-10x=15y-9\quad[y]$
答え $y=\cfrac{-10x+9}{15}\\ \left(y=-\cfrac{10x-9}{15}, \ y=-\cfrac{2}{3}x+\cfrac{3}{5}も可\right)$
\begin{eqnarray*} -10x&=&15y-9\quad(左辺と右辺をとりかえる) \\ 15y-9&=&-10x \\ 15y&=&-10x+9\\ y&=&\cfrac{-10x+9}{15} \end{eqnarray*}次の式を$[\phantom{h}]$内の文字について解きなさい。
②
$V=\cfrac{1}{3}Sh\quad[h]$
答え $h=\cfrac{3V}{S}$
\begin{eqnarray*} V&=&\cfrac{1}{3}Sh\quad(左辺と右辺をとりかえる) \\ \cfrac{1}{3}Sh&=&V\quad(両辺に\times3) \\ Sh&=&3V \\ h&=&\cfrac{3V}{S} \end{eqnarray*}$x=-\cfrac{3}{4},\ y=-\cfrac{1}{6}$ のとき、次の式の値を求めなさい。
③
$20x^2y^2\div(-5xy)$
答え $-\cfrac{1}{2}$
\begin{eqnarray*} &&20x^2y^2\div(-5xy)\\ &=&-\cfrac{20xxyy}{5xy}\\ &=&-4xy\\ &=&-4\times\left(-\cfrac{3}{4}\right)\times\left(-\cfrac{1}{6}\right)\\ &=&-\cfrac{1}{2} \end{eqnarray*}④ $y$ が $x$ に比例し、$x=8$ のとき、$y=-3$ である。$y$ を $x$ の式で表しなさい。
答え $y=-\cfrac{3}{8}x$
比例の式の形は $y=ax$ $$a=\cfrac{y}{x}=\cfrac{-3}{8}=-\cfrac{3}{8}$$⑤ $y$ が $x$ に反比例し、$x=8$ のとき、$y=-3$ である。$y$ を $x$ の式で表しなさい。
答え $y=-\cfrac{24}{x}$
反比例の式の形は $y=\cfrac{a}{x}$ $$a=x \times y=8\times(-3)=-24$$⑥ 傾きが $3$ で、点 $(-2,\ -4)$ を通る直線の式を求めなさい。
答え $y=3x+2$
直線の式の形は $y=ax+b$傾きが $3$ なので$a=3$
$y=3x+b$ に $x=-2,\ y=-4$ を代入 \begin{eqnarray*} -4&=&3\times(-2)+b\\ -4&=&-6+b\\ -4+6&=&b\\ 2&=&b \end{eqnarray*}
⑦ $2$ 点 $(-6,\ -1),\ (6,\ -5)$ を通る直線の式を求めなさい。
答え $y=-\cfrac{1}{3}x-3$
直線の式の形は $y=ax+b$ \begin{eqnarray*} a&=&\cfrac{y_2-y_1}{x_2-x_1}\\ &=&\cfrac{-5-(-1)}{6-(-6)}=\cfrac{-4}{12}=-\cfrac{1}{3}\\ \end{eqnarray*} $y=-\cfrac{1}{3}+b$ に $x=-6,\ y=-1$ を代入 \begin{eqnarray*} -1&=&-\cfrac{1}{3}\times(-6)+b\\ -1&=&2+b\\ -1-2&=&b\\ -3&=&b \end{eqnarray*}⑧ $2$ 個のサイコロを投げるとき、出る目の和が $6$ 以上になる確率を求めなさい。
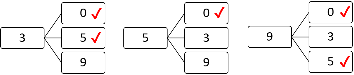
⑨ $\boxed{\large{\ 0\ }}$$\boxed{\large{\ 3\ }}$$\boxed{\large{\ 5\ }}$$\boxed{\large{\ 9\ }}$ と数字のかかれたカードが全部で $4$ 枚ある。この中から $2$ 枚のカードを抜き取ってならべ、$2$ けたの整数をつくるとき、 $5$ の倍数となる確率を求めなさい。
答え
$\boxed{\large{\ 1\ }}①5②\cfrac{15}{14}③72④-23x+5y⑤-\cfrac{1}{2}a^2-\cfrac{17}{56}a\\ ⑥3a^2-2a-1⑦-6x+9y⑧6x-76y⑨-7x-18y\\ ⑩\cfrac{-x+3y}{6}\\\quad\left(-\cfrac{x-3y}{6},-\cfrac{1}{6}x+\cfrac{1}{2}yも可\right)\\ ⑪72x^8⑫8x⑬\cfrac{3}{x}⑭x^2-3x-54\\ ⑮x^2+16x+64⑯x^2-81\\ \boxed{\large{\ 2\ }}①x=-1②x=-\cfrac{1}{4}③x=10,y=-3\\ \boxed{\large{\ 3\ }}①y=\cfrac{-10x+9}{15}\\ \left(y=-\cfrac{10x-9}{15}, \ y=-\cfrac{2}{3}x+\cfrac{3}{5}も可\right)②h=\cfrac{3V}{S}\\ ③-\cfrac{1}{2}④y=-\cfrac{3}{8}x⑤y=-\cfrac{24}{x}⑥y=3x+2\\ ⑦y=-\cfrac{1}{3}x-3⑧\cfrac{13}{18}⑨\cfrac{5}{9} $

赤でチェックしたところが $5$ の倍数。