中3数学 春休みの計算 第7回 全28問
ページがちゃんと表示されるまで$10$秒くらいかかります。印刷するときは、ちょっと待ってからにしてください。
$ \boxed{\phantom{ho}}$←ここに四角形が表示されていたら準備OKです。
問題をクリックすると答えがでます。
① $(-6)+(-7)\times(-3)$
答え $15$
\begin{eqnarray*} &&(-6)+(-7)\times(-3)\\ &=&-6-7\times(-3)\\ &=&-6+21\\ &=&15 \end{eqnarray*}② $-\cfrac{8}{5}+4-\cfrac{8}{3}$
答え $-\cfrac{4}{15}$
\begin{eqnarray*} &&-\cfrac{8}{5}+4-\cfrac{8}{3}\\ &=-&\cfrac{24}{15}+\cfrac{60}{15}-\cfrac{40}{15}\\ &=&-\cfrac{4}{15} \end{eqnarray*}③ $-(-4)^2\times(-2^2)$
答え $64$
\begin{eqnarray*} &&-(-4)^2\times(-2^2)\\ &=&-16\times(-4)\\ &=&64 \end{eqnarray*}④ $-(8x+3y)-(11x-7y)$
答え $-19x+4y$
\begin{eqnarray*} &&-8x-3y-11x+7y\\ &=&-8x-11x-3y+7y\\ &=&-19x+4y \end{eqnarray*}⑤ $\left(-a^2-\cfrac{2}{5}a\right)-\left(-\cfrac{1}{3}a^2-\cfrac{3}{10}a\right)$
答え $-\cfrac{2}{3}a^2-\cfrac{1}{10}a$
\begin{eqnarray*} &&-a^2-\cfrac{2}{5}a+\cfrac{1}{3}a^2+\cfrac{3}{10}a\\ &=&-a^2+\cfrac{1}{3}a^2-\cfrac{2}{5}a+\cfrac{3}{10}a\\ &=&-\cfrac{3}{3}a^2+\cfrac{1}{3}a^2-\cfrac{4}{10}a+\cfrac{3}{10}a\\ &=&-\cfrac{2}{3}a^2-\cfrac{1}{10}a \end{eqnarray*}⑥ $(7a^2-21a-84)\div7$
答え $a^2-3a-12$
⑦ $(45x-10y)\div\left(-\cfrac{5}{6}\right)$
答え $-54x+12y$
\begin{eqnarray*} &&(45x-10y)\times\left(-\cfrac{6}{5}\right)\\ &=&-54x+12y \end{eqnarray*}⑧ $4(2x-y)-(-5x+6y)$
答え $13x-10y$
\begin{eqnarray*} &&8x-4y+5x-6y\\ &=&8x+5x-4y-6y\\ &=&13x-10y \end{eqnarray*}⑨ $\cfrac{1}{2}(40x-36y)-\cfrac{5}{3}(15x+24y)$
答え $-5x-58y$
\begin{eqnarray*} &&20x-18y-25x-40y\\ &=&20x-25x-18y-40y\\ &=&-5x-58y \end{eqnarray*}⑩ $\cfrac{2x-4y}{3}-\cfrac{6x-3y}{4}$
答え $\cfrac{-10x-7y}{12}\quad\left(-\cfrac{10x+7y}{12},-\cfrac{5}{6}x-\cfrac{7}{12}yも可\right)$
\begin{eqnarray*} &&\cfrac{4(2x-4y)-3(6x-3y)}{12}\\ &=&\cfrac{8x-16y-18x+9y}{12}\\ &=&\cfrac{8x-18x-16y+9y}{12}\\ &=&\cfrac{-10x-7y}{12} \end{eqnarray*}⑪ $(-2x)^2\times(-x^2)\times(-2x)^3$
答え $32x^7$
\begin{eqnarray*} &&4x^2\times(-x^2)\times(-8x^3)\\ &=&32x^7 \end{eqnarray*}⑫ $-21x^2y\div49x^3y^2\times(-14x^2y)$
答え $6x$
\begin{eqnarray*} &&\cfrac{21xxy\times14xxy}{49xxxyy}\\ &=&6x \end{eqnarray*}⑬ $12xy\times(-3xy)\div\left(-\cfrac{72}{7}x^3y^2\right)$
答え $\cfrac{7}{2x}$
\begin{eqnarray*} &&\cfrac{12xy}{1}\times\left(-\cfrac{3xy}{1}\right)\times\left(-\cfrac{7}{72xxxyy}\right)\\ &=&\cfrac{7}{2x} \end{eqnarray*}⑭ $(x-3)(x-7)$
答え $x^2-10x+21$
\begin{eqnarray*} &&x^2+(-3-7)x-3\times(-7)\\ &=&x^2-10x+21 \end{eqnarray*}⑮ $(x-7)^2$
答え $x^2-14x+49$
\begin{eqnarray*} &&x^2+2 \times x \times(-7)+(-7)^2\\ &=&x^2-14x+49 \end{eqnarray*}⑯ $(x+8)(x-8)$
答え $x^2-64$
\begin{eqnarray*} &&(x)^2-(8)^2\\ &=&x^2-64 \end{eqnarray*}① $-10x-3=-2(6x+12)-15$
答え $x=-18$
\begin{eqnarray*} -10x-3&=&-2(6x+12)-15\\ -10x-3&=&-12x-24-15\\ -10x+12x&=&-24-15+3\\ 2x&=&-36\\ x&=&-18 \end{eqnarray*}② $-\cfrac{3}{4}x-\cfrac{5}{12}=x-\cfrac{2}{3}$
答え $x=\cfrac{1}{7}$
\begin{eqnarray*} \\-\cfrac{3}{4}x-\cfrac{5}{12}&=&x-\cfrac{2}{3}\quad(\times12)\\ -9x-5&=&12x-8 \\ -9x-12x&=&-8+5\\ -21x&=&-3\\ x&=&\cfrac{3}{21}=\cfrac{1}{7} \end{eqnarray*}③ $\left\{\begin{array}{l} 4x-3y=2\\ 4x-5(y+1)=-3x-2 \end{array}\right.$
答え $x=-1,y=-2$
\begin{eqnarray*} \left\{ \begin{array}{l} 4x-3y=2\qquad…①\\ 4x-5(y+1)=-3x-2\qquad…② \end{array} \right. \end{eqnarray*} $②を整理$ \begin{eqnarray*} 4x-5y-5&=&-3x-2\\ 4x+3x-5y&=&-2+5\\ 7x-5y&=&3\qquad…③ \end{eqnarray*} $①\times5-③\times3$ \begin{eqnarray*} 20x-15y=10\\ \underline{-) \quad 21x-15y=\phantom{1}9} \\ -x\phantom{+888y}=\phantom{1}1\\ x=-1 \end{eqnarray*} \begin{eqnarray*} x=-1を①に代入\\ -4-3y&=&2\\ -3y&=&2+4\\ -3y&=&6\\ y&=&-2\\ \\ \left\{ \begin{array}{l} x=-1\\ y=-2 \end{array} \right. \end{eqnarray*}次の式を$[\phantom{y}]$内の文字について解きなさい。
①
$-3x=12y+8\quad[y]$
答え $y=\cfrac{-3x-8}{12}\\ \left(y=-\cfrac{3x+8}{12}, \ y=-\cfrac{1}{4}x-\cfrac{2}{3}も可\right)$
\begin{eqnarray*} -3x&=&12y+8\quad(左辺と右辺をとりかえる) \\ 12y+8&=&-3x \\ 12y&=&-3x-8\\ y&=&\cfrac{-3x-8}{12} \end{eqnarray*}次の式を$[\phantom{h}]$内の文字について解きなさい。
②
$S=\cfrac{ah}{2}\quad[a]$
答え $a=\cfrac{2S}{h}$
\begin{eqnarray*} S&=&\cfrac{ah}{2}\quad(左辺と右辺をとりかえる) \\ \cfrac{ah}{2}&=&S\quad(両辺に\times2) \\ ah&=&2S \\ a&=&\cfrac{2S}{h} \end{eqnarray*}$x=-\cfrac{6}{5},\ y=-\cfrac{1}{3}$ のとき、次の式の値を求めなさい。
③
$15xy^2\div(-3y)$
答え $-2$
\begin{eqnarray*} &&15xy^2\div(-3y)\\ &=&-\cfrac{15xyy}{3y}\\ &=&-5xy\\ &=&-5\times\left(-\cfrac{6}{5}\right)\times\left(-\cfrac{1}{3}\right)\\ &=&-2 \end{eqnarray*}④ $y$ が $x$ に比例し、$x=12$ のとき、$y=-8$ である。$y$ を $x$ の式で表しなさい。
答え $y=-\cfrac{2}{3}x$
比例の式の形は $y=ax$ $$a=\cfrac{y}{x}=\cfrac{-8}{12}=-\cfrac{2}{3}$$⑤ $y$ が $x$ に反比例し、$x=12$ のとき、$y=-8$ である。$y$ を $x$ の式で表しなさい。
答え $y=-\cfrac{96}{x}$
反比例の式の形は $y=\cfrac{a}{x}$ $$a=x \times y=12\times(-8)=-96$$⑥ 傾きが $-\cfrac{2}{3}$ で、点 $(9,\ -1)$ を通る直線の式を求めなさい。
答え $y=-\cfrac{2}{3}x+5$
直線の式の形は $y=ax+b$傾きが $-\cfrac{2}{3}$ なので$a=-\cfrac{2}{3}$
$y=-\cfrac{2}{3}x+b$ に $x=9,\ y=-1$ を代入 \begin{eqnarray*} -1&=&-\cfrac{2}{3}\times9+b\\ -1&=&-6+b\\ -1+6&=&b\\ 5&=&b \end{eqnarray*}
⑦ $2$ 点 $(-4,\ -4),\ (6,\ 1)$ を通る直線の式を求めなさい。
答え $y=\cfrac{1}{2}x-2$
直線の式の形は $y=ax+b$ \begin{eqnarray*} a&=&\cfrac{y_2-y_1}{x_2-x_1}\\ &=&\cfrac{1-(-4)}{6-(-4)}=\cfrac{5}{10}=\cfrac{1}{2}\\ \end{eqnarray*} $y=\cfrac{1}{2}x+b$ に $x=6,\ y=1$ を代入 \begin{eqnarray*} 1&=&\cfrac{1}{2}\times6+b\\ 1&=&3+b\\ 1-3&=&b\\ -2&=&b \end{eqnarray*}⑧ $2$ 個のサイコロを投げるとき、出る目の和が $12$ の約数になる確率を求めなさい。
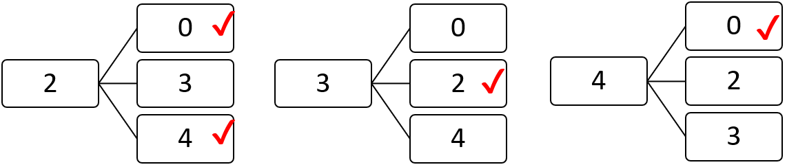
⑨ $\boxed{\large{\ 0\ }}$$\boxed{\large{\ 2\ }}$$\boxed{\large{\ 3\ }}$$\boxed{\large{\ 4\ }}$ と数字のかかれたカードが全部で $4$ 枚ある。この中から $2$ 枚のカードを抜き取ってならべ、$2$ けたの整数をつくるとき、 $4$ の倍数となる確率を求めなさい。
答え
$\boxed{\large{\ 1\ }}①15②-\cfrac{4}{15}③64④-19x+4y⑤-\cfrac{2}{3}a^2-\cfrac{1}{10}a\\ ⑥a^2-3a-12⑦-54x+12y⑧13x-10y⑨-5x-58y\\ ⑩\cfrac{-10x-7y}{12}\quad\left(-\cfrac{10x+7y}{12},-\cfrac{5}{6}x-\cfrac{7}{12}yも可\right)\\ ⑪32x^7⑫6x⑬\cfrac{7}{2x}⑭x^2-10x+21\\ ⑮x^2-14x+49⑯x^2-64\\ \boxed{\large{\ 2\ }}①x=-18②x=\cfrac{1}{7}③x=-1,y=-2\\ \boxed{\large{\ 3\ }}①y=\cfrac{-3x-8}{12}\\ \left(y=-\cfrac{3x+8}{12}, \ y=-\cfrac{1}{4}x-\cfrac{2}{3}も可\right)②a=\cfrac{2S}{h}\\ ③-2④y=-\cfrac{2}{3}x⑤y=-\cfrac{96}{x}⑥y=-\cfrac{2}{3}x+5\\ ⑦y=\cfrac{1}{2}x-2⑧\cfrac{1}{3}⑨\cfrac{4}{9} $

赤でチェックしたところが $4$ の倍数。