中3数学 春休みの計算 第6回 全28問
ページがちゃんと表示されるまで$10$秒くらいかかります。印刷するときは、ちょっと待ってからにしてください。
$ \boxed{\phantom{ho}}$←ここに四角形が表示されていたら準備OKです。
問題をクリックすると答えがでます。
① $(-3)-(-3)\times(-9)$
答え $-30$
\begin{eqnarray*} &&(-3)-(-3)\times(-9)\\ &=&-3+3\times(-9)\\ &=&-3-27\\ &=&-30 \end{eqnarray*}② $-\cfrac{3}{4}-1+\cfrac{7}{6}$
答え $-\cfrac{7}{12}$
\begin{eqnarray*} &&-\cfrac{3}{4}-1+\cfrac{7}{6}\\ &=-&\cfrac{9}{12}-\cfrac{12}{12}+\cfrac{14}{12}\\ &=&-\cfrac{7}{12} \end{eqnarray*}③ $-(-5)^2\times(-1)^3$
答え $25$
\begin{eqnarray*} &&-(-5)^2\times(-1)^3\\ &=&-25\times(-1)\\ &=&25 \end{eqnarray*}④ $-(3x+5y)-(8x-9y)$
答え $-11x+4y$
\begin{eqnarray*} &&-3x-5y-8x+9y\\ &=&-3x-8x-5y+9y\\ &=&-11x+4y \end{eqnarray*}⑤ $\left(-\cfrac{3}{4}a^2-\cfrac{8}{15}a\right)-\left(-\cfrac{5}{6}a^2+a\right)$
答え $\cfrac{1}{12}a^2-\cfrac{23}{15}a$
\begin{eqnarray*} &&-\cfrac{3}{4}a^2-\cfrac{8}{15}a+\cfrac{5}{6}a^2-a\\ &=&-\cfrac{3}{4}a^2+\cfrac{5}{6}a^2-\cfrac{8}{15}a-a\\ &=&-\cfrac{9}{12}a^2+\cfrac{10}{12}a^2-\cfrac{8}{15}a-\cfrac{15}{15}a\\ &=&\cfrac{1}{12}a^2-\cfrac{23}{15}a \end{eqnarray*}⑥ $(45a^2-81a-27)\div9$
答え $5a^2-9a-3$
⑦ $(42x-35y)\div\left(-\cfrac{7}{2}\right)$
答え $-12x+10y$
\begin{eqnarray*} &&(42x-35y)\times\left(-\cfrac{2}{7}\right)\\ &=&-12x+10y \end{eqnarray*}⑧ $3(7x-2y)-4(-5x+8y)$
答え $41x-38y$
\begin{eqnarray*} &&21x-6y+20x-32y\\ &=&21x+20x-6y-32y\\ &=&41x-38y \end{eqnarray*}⑨ $\cfrac{4}{3}(15x-6y)-\cfrac{4}{9}(18x+27y)$
答え $12x-20y$
\begin{eqnarray*} &&20x-8y-8x-12y\\ &=&20x-8x-8y-12y\\ &=&12x-20y \end{eqnarray*}⑩ $\cfrac{3x-6y}{5}-\cfrac{9x-2y}{10}$
答え $\cfrac{-3x-10y}{10}\quad\left(-\cfrac{3x+10y}{10},-\cfrac{3}{10}x-yも可\right)$
\begin{eqnarray*} &&\cfrac{2(3x-6y)-(9x-2y)}{10}\\ &=&\cfrac{6x-12y-9x+2y}{10}\\ &=&\cfrac{6x-9x-12y+2y}{10}\\ &=&\cfrac{-3x-10y}{10} \end{eqnarray*}⑪ $(-x)^3\times(-2x)^2\times(2x)^3$
答え $-32x^8$
\begin{eqnarray*} &&-x^3\times4x^2\times8x^3\\ &=&-32x^8 \end{eqnarray*}⑫ $-7xy\div35x^2y^2\times(-10x^2y)$
答え $2x$
\begin{eqnarray*} &&\cfrac{7xy\times10xxy}{35xxyy}\\ &=&2x \end{eqnarray*}⑬ $-4xy^2\div\left(-\cfrac{16}{3}x^3y^2\right)\times(-8xy)$
答え $-\cfrac{6y}{x}$
\begin{eqnarray*} &&-\cfrac{4xyy}{1}\times\left(-\cfrac{3}{16xxxyy}\right)\times\left(-\cfrac{8xy}{1}\right)\\ &=&-\cfrac{6y}{x} \end{eqnarray*}⑭ $(x+5)(x-8)$
答え $x^2-3x-40$
\begin{eqnarray*} &&x^2+(5-8)x+5\times(-8)\\ &=&x^2-3x-40 \end{eqnarray*}⑮ $(x+6)^2$
答え $x^2+12x+36$
\begin{eqnarray*} &&x^2+2 \times x \times6+6^2\\ &=&x^2+12x+36 \end{eqnarray*}⑯ $(x+7)(x-7)$
答え $x^2-49$
\begin{eqnarray*} &&(x)^2-(7)^2\\ &=&x^2-49 \end{eqnarray*}① $-15x-14=-3(13x+12)-11$
答え $x=-\cfrac{11}{8}$
\begin{eqnarray*} -15x-14&=&-3(13x+12)-11\\ -15x-14&=&-39x-36-11\\ -15x+39x&=&-36-11+14\\ 24x&=&-33\\ x&=&-\cfrac{33}{24}=-\cfrac{11}{8} \end{eqnarray*}② $-\cfrac{5}{16}x-\cfrac{9}{8}=x-\cfrac{3}{2}$
答え $x=\cfrac{2}{7}$
\begin{eqnarray*} \\-\cfrac{5}{16}x-\cfrac{9}{8}&=&x-\cfrac{3}{2}\quad(\times16)\\ -5x-18&=&16x-24 \\ -5x-16x&=&-24+18\\ -21x&=&-6\\ x&=&\cfrac{6}{21}=\cfrac{2}{7} \end{eqnarray*}③ $\left\{\begin{array}{l} 5x+2y=-10\\ 7(x-3)+6y=-2y-9 \end{array}\right.$
答え $x=-4,y=5$
\begin{eqnarray*} \left\{ \begin{array}{l} 5x+2y=-10\qquad…①\\ 7(x-3)+6y=-2y-9\qquad…② \end{array} \right. \end{eqnarray*} $②を整理$ \begin{eqnarray*} 7x-21+6y&=&-2y-9\\ 7x+6y+2y&=&-9+21\\ 7x+8y&=&12\qquad…③ \end{eqnarray*} $①\times4-③$ \begin{eqnarray*} 20x+8y=-40\\ \underline{-) \quad 7x+8y=\phantom{-}12} \\ 13x\phantom{+88y}=-52\\ x=-4\phantom{1} \end{eqnarray*} \begin{eqnarray*} x=-4を①に代入\\ -20+2y&=&-10\\ 2y&=&-10+20\\ 2y&=&10\\ y&=&5\\ \\ \left\{ \begin{array}{l} x=-4\\ y=5 \end{array} \right. \end{eqnarray*}次の式を$[\phantom{y}]$内の文字について解きなさい。
①
$-6x=6y-7\quad[y]$
答え $y=\cfrac{-6x+7}{6}\\ \left(y=-\cfrac{6x-7}{6}, \ y=-x+\cfrac{7}{6}も可\right)$
\begin{eqnarray*} -6x&=&6y-7\quad(左辺と右辺をとりかえる) \\ 6y-7&=&-6x \\ 6y&=&-6x+7\\ y&=&\cfrac{-6x+7}{6} \end{eqnarray*}次の式を$[\phantom{h}]$内の文字について解きなさい。
②
$V=\cfrac{Sh}{3}\quad[h]$
答え $h=\cfrac{3V}{S}$
\begin{eqnarray*} V&=&\cfrac{Sh}{3}\quad(左辺と右辺をとりかえる) \\ \cfrac{Sh}{3}&=&V\quad(両辺に\times3) \\ Sh&=&3V \\ h&=&\cfrac{3V}{S} \end{eqnarray*}$x=-\cfrac{7}{4},\ y=-\cfrac{1}{2}$ のとき、次の式の値を求めなさい。
③
$16x^2y\div(-2x)$
答え $-7$
\begin{eqnarray*} &&16x^2y\div(-2x)\\ &=&-\cfrac{16xxy}{2x}\\ &=&-8xy\\ &=&-8\times\left(-\cfrac{7}{4}\right)\times\left(-\cfrac{1}{2}\right)\\ &=&-7 \end{eqnarray*}④ $y$ が $x$ に比例し、$x=15$ のとき、$y=-20$ である。$y$ を $x$ の式で表しなさい。
答え $y=-\cfrac{4}{3}x$
比例の式の形は $y=ax$ $$a=\cfrac{y}{x}=\cfrac{-20}{15}=-\cfrac{4}{3}$$⑤ $y$ が $x$ に反比例し、$x=15$ のとき、$y=-20$ である。$y$ を $x$ の式で表しなさい。
答え $y=-\cfrac{300}{x}$
反比例の式の形は $y=\cfrac{a}{x}$ $$a=x \times y=15\times(-20)=-300$$⑥ 傾きが $-\cfrac{3}{4}$ で、点 $(-8,\ -1)$ を通る直線の式を求めなさい。
答え $y=-\cfrac{3}{4}x-7$
直線の式の形は $y=ax+b$傾きが $-\cfrac{3}{4}$ なので$a=-\cfrac{3}{4}$
$y=-\cfrac{3}{4}x+b$ に $x=-8,\ y=-1$ を代入 \begin{eqnarray*} -1&=&-\cfrac{3}{4}\times(-8)+b\\ -1&=&6+b\\ -1-6&=&b\\ -7&=&b \end{eqnarray*}
⑦ $2$ 点 $(-3,\ 10),\ (2,\ -5)$ を通る直線の式を求めなさい。
答え $y=-3x+1$
直線の式の形は $y=ax+b$ \begin{eqnarray*} a&=&\cfrac{y_2-y_1}{x_2-x_1}\\ &=&\cfrac{-5-10}{2-(-3)}=\cfrac{-15}{5}=-3\\ \end{eqnarray*} $y=-3x+b$ に $x=2,\ y=-5$ を代入 \begin{eqnarray*} -5&=&-3\times2+b\\ -5&=&-6+b\\ -5+6&=&b\\ 1&=&b \end{eqnarray*}⑧ $2$ 個のサイコロを投げるとき、出る目の和が $6$ の約数になる確率を求めなさい。
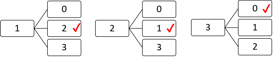
⑨ $\boxed{\large{\ 0\ }}$$\boxed{\large{\ 1\ }}$$\boxed{\large{\ 2\ }}$$\boxed{\large{\ 3\ }}$ と数字のかかれたカードが全部で $4$ 枚ある。この中から $2$ 枚のカードを抜き取ってならべ、$2$ けたの整数をつくるとき、 $3$ の倍数となる確率を求めなさい。
答え
$\boxed{\large{\ 1\ }}①-30②-\cfrac{7}{12}③25④-11x+4y⑤\cfrac{1}{12}a^2-\cfrac{23}{15}a\\ ⑥5a^2-9a-3⑦-12x+10y⑧41x-38y⑨12x-20y\\ ⑩\cfrac{-3x-10y}{10}\quad\left(-\cfrac{3x+10y}{10},-\cfrac{3}{10}x-yも可\right)\\ ⑪-32x^8⑫2x⑬-\cfrac{6y}{x}⑭x^2-3x-40\\ ⑮x^2+12x+36⑯x^2-49\\ \boxed{\large{\ 2\ }}①x=-\cfrac{11}{8}②x=\cfrac{2}{7}③x=-4,y=5\\ \boxed{\large{\ 3\ }}①y=\cfrac{-6x+7}{6}\\ \left(y=-\cfrac{6x-7}{6}, \ y=-x+\cfrac{7}{6}も可\right)②h=\cfrac{3V}{S}\\ ③-7④y=-\cfrac{4}{3}x⑤y=-\cfrac{300}{x}⑥y=-\cfrac{3}{4}x-7\\ ⑦y=-3x+1⑧\cfrac{2}{9}⑨\cfrac{1}{3} $

赤でチェックしたところが $3$ の倍数。