中3数学 春休みの計算 第10回 全28問
ページがちゃんと表示されるまで$10$秒くらいかかります。印刷するときは、ちょっと待ってからにしてください。
$ \boxed{\phantom{ho}}$←ここに四角形が表示されていたら準備OKです。
問題をクリックすると答えがでます。
① $(-6)+(-8)\times(-3)$
答え $18$
\begin{eqnarray*} &&(-6)+(-8)\times(-3)\\ &=&-8-8\times(-3)\\ &=&-6+24\\ &=&18 \end{eqnarray*}② $-\cfrac{3}{5}+2-\cfrac{1}{4}$
答え $\cfrac{23}{20}$
\begin{eqnarray*} &&-\cfrac{3}{5}+2-\cfrac{1}{4}\\ &=&-\cfrac{12}{20}+\cfrac{40}{20}-\cfrac{5}{20}\\ &=&\cfrac{23}{20} \end{eqnarray*}③ $-(-2)^3\times(-3)^2$
答え $72$
\begin{eqnarray*} &&-(-2)^3\times(-3)^2\\ &=&8\times9\\ &=&72 \end{eqnarray*}④ $-(19x+7y)-(13x-8y)$
答え $-32x+y$
\begin{eqnarray*} &&-19x-7y-13x+8y\\ &=&-19x-13x-7y+8y\\ &=&-32x+y \end{eqnarray*}⑤ $\left(\cfrac{2}{3}a^2-4a\right)-\left(-\cfrac{5}{8}a^2-\cfrac{16}{5}a\right)$
答え $\cfrac{31}{24}a^2-\cfrac{4}{5}a$
\begin{eqnarray*} &&\cfrac{2}{3}a^2-4a+\cfrac{5}{8}a^2+\cfrac{16}{5}a\\ &=&\cfrac{2}{3}a^2+\cfrac{5}{8}a^2-4a+\cfrac{16}{5}a\\ &=&\cfrac{16}{24}a^2+\cfrac{15}{24}a^2-\cfrac{20}{5}a+\cfrac{16}{5}a\\ &=&\cfrac{31}{24}a^2-\cfrac{4}{5}a \end{eqnarray*}⑥ $(30a^2-25a-55)\div5$
答え $6a^2-5a-11$
⑦ $(54x-18y)\div\left(-\cfrac{9}{4}\right)$
答え $-24x+8y$
\begin{eqnarray*} &&(54x-18y)\times\left(-\cfrac{4}{9}\right)\\ &=&-24x+8y \end{eqnarray*}⑧ $7(2x-3y)-4(6x+y)$
答え $-10x-25y$
\begin{eqnarray*} &&14x-21y-24x-4y\\ &=&14x-24x-21y-4y\\ &=&-10x-25y \end{eqnarray*}⑨ $\cfrac{2}{5}(25x-40y)-\cfrac{4}{7}(35x+14y)$
答え $-10x-24y$
\begin{eqnarray*} &&10x-16y-20x-8y\\ &=&10x-20x-16y-8y\\ &=&-10x-24y \end{eqnarray*}⑩ $\cfrac{x-2y}{3}-\cfrac{2x-5y}{4}$
答え $\cfrac{-2x+7y}{12}\\\quad\left(-\cfrac{2x-7y}{12},-\cfrac{1}{6}x+\cfrac{7}{12}yも可\right)$
\begin{eqnarray*} &&\cfrac{4(x-2y)-3(2x-5y)}{12}\\ &=&\cfrac{4x-8y-6x+15y}{12}\\ &=&\cfrac{4x-6x-8y+15y}{12}\\ &=&\cfrac{-2x+7y}{12} \end{eqnarray*}⑪ $-(-2x^2)\times(-2x)^2\times(-2x)^3$
答え $-64x^7$
\begin{eqnarray*} &&2x^2\times4x^2\times(-8x^3)\\ &=&-64x^7 \end{eqnarray*}⑫ $-4xy\div64x^2y\times(-8xy)$
答え $\cfrac{1}{2}y$
\begin{eqnarray*} &&\cfrac{4xy\times8xy}{64xxy}\\ &=&\cfrac{1}{2}y \end{eqnarray*}⑬ $18x^2\div\left(-\cfrac{27}{2}x^2y^2\right)\times(-3xy)$
答え $\cfrac{4x}{y}$
\begin{eqnarray*} &&\cfrac{18xx}{1}\times\left(-\cfrac{2}{27xxyy}\right)\times\left(-\cfrac{3xy}{1}\right)\\ &=&\cfrac{4x}{y} \end{eqnarray*}⑭ $(x-7)(x+8)$
答え $x^2+x-56$
\begin{eqnarray*} &&x^2+(-7+8)x-7\times8\\ &=&x^2+x-56 \end{eqnarray*}⑮ $(x+10)^2$
答え $x^2+20x+100$
\begin{eqnarray*} &&x^2+2 \times x \times10+10^2\\ &=&x^2+20x+100 \end{eqnarray*}⑯ $(x+11)(x-11)$
答え $x^2-121$
\begin{eqnarray*} &&(x)^2-(11)^2\\ &=&x^2-121 \end{eqnarray*}① $-7x+13=4(2x+3)+11$
答え $x=-\cfrac{2}{3}$
\begin{eqnarray*} -7x+13&=&4(2x+3)+11\\ -7x+13&=&8x+12+11\\ -7x-8x&=&12+11-13\\ -15x&=&10\\ x&=&-\cfrac{10}{15}=-\cfrac{2}{3} \end{eqnarray*}② $-\cfrac{2}{3}x-\cfrac{1}{4}=-x+\cfrac{7}{4}$
答え $x=6$
\begin{eqnarray*} -\cfrac{2}{3}x-\cfrac{1}{4}&=&-x+\cfrac{7}{4}\quad(\times12)\\ -8x-3&=&-12x+21 \\ -8x+12x&=&21+3\\ 4x&=&24\\ x&=&6 \end{eqnarray*}③ $\left\{\begin{array}{l} 4x+3y=9\\ 3x+3(y-3)=y+1 \end{array}\right.$
答え $x=12,y=-13$
\begin{eqnarray*} \left\{ \begin{array}{l} 4x+3y=9\qquad…①\\ 3x+3(y-3)=y+1\qquad…② \end{array} \right. \end{eqnarray*} $②を整理$ \begin{eqnarray*} 3x+3y-9&=&y+1\\ 3x+3y-y&=&1+9\\ 3x+2y&=&10\qquad…③ \end{eqnarray*} $①\times2-③\times3$ \begin{eqnarray*} 8x+6y=\phantom{-}18\\ \underline{-) \quad 9x+6y=\phantom{-}30} \\ -x\phantom{-0y}=-12\\ x=\phantom{-}12 \end{eqnarray*} \begin{eqnarray*} x=12を③に代入\\ 36+2y&=&10\\ 2y&=&10-36\\ 2y&=&-26\\ y&=&-13\\ \\ \left\{ \begin{array}{l} x=12\\ y=-13 \end{array} \right. \end{eqnarray*}次の式を$[\phantom{y}]$内の文字について解きなさい。
①
$-14x=10y-5\quad[y]$
答え $y=\cfrac{-14x+5}{10}\\ \left(y=-\cfrac{14x-5}{10}, \ y=-\cfrac{7}{5}x+\cfrac{1}{2}も可\right)$
\begin{eqnarray*} -14x&=&10y-5\quad(左辺と右辺をとりかえる) \\ 10y-5&=&-14x\\ 10y&=&-14x+5\\ y&=&\cfrac{-14x+5}{10} \end{eqnarray*}次の式を$[\phantom{h}]$内の文字について解きなさい。
②
$S=\cfrac{(a+b)h}{2}\quad[h]$
答え $h=\cfrac{2S}{a+b}$
\begin{eqnarray*} S&=&\cfrac{(a+b)h}{2}\quad(左辺と右辺をとりかえる) \\ \cfrac{(a+b)h}{2}&=&S\quad(両辺に\times2) \\ (a+b)h&=&2S \\ h&=&\cfrac{2S}{a+b} \end{eqnarray*}$x=-\cfrac{1}{3},\ y=-\cfrac{1}{2}$ のとき、次の式の値を求めなさい。
③
$2x^3y^2\div(-3x^2y)$
答え $-\cfrac{1}{9}$
\begin{eqnarray*} &&2x^3y^2\div(-3x^2y)\\ &=&-\cfrac{14xxxyy}{2xxy}\\ &=&-\cfrac{2}{3}xy\\ &=&-\cfrac{2}{3}\times\left(-\cfrac{1}{3}\right)\times\left(-\cfrac{1}{2}\right)\\ &=&-\cfrac{1}{9} \end{eqnarray*}④ $y$ が $x$ に比例し、$x=15$ のとき、$y=-30$ である。$y$ を $x$ の式で表しなさい。
答え $y=-2x$
比例の式の形は $y=ax$ $$a=\cfrac{y}{x}=\cfrac{-30}{15}=-2$$⑤ $y$ が $x$ に反比例し、$x=15$ のとき、$y=-30$ である。$y$ を $x$ の式で表しなさい。
答え $y=-\cfrac{450}{x}$
反比例の式の形は $y=\cfrac{a}{x}$ $$a=x \times y=15\times(-30)=-450$$⑥ 傾きが $\cfrac{1}{2}$ で、点 $(6,\ 2)$ を通る直線の式を求めなさい。
答え $y=\cfrac{1}{2}x-1$
直線の式の形は $y=ax+b$傾きが $\cfrac{1}{2}$ なので$a=\cfrac{1}{2}$
$y=\cfrac{1}{2}x+b$ に $x=6,\ y=2$ を代入 \begin{eqnarray*} 2&=&\cfrac{1}{2}\times6+b\\ 2&=&3+b\\ 2-3&=&b\\ -1&=&b \end{eqnarray*}
⑦ $2$ 点 $(-8,\ 9),\ (4,\ 0)$ を通る直線の式を求めなさい。
答え $y=-\cfrac{3}{4}x+3$
直線の式の形は $y=ax+b$ \begin{eqnarray*} a&=&\cfrac{y_2-y_1}{x_2-x_1}\\ &=&\cfrac{0-9}{4-(-8)}=\cfrac{-9}{12}=-\cfrac{3}{4}\\ \end{eqnarray*} $y=-\cfrac{3}{4}x+b$ に $x=4,\ y=0$ を代入 \begin{eqnarray*} 0&=&-\cfrac{3}{4}\times4+b\\ 0&=&-3+b\\ 3&=&b \end{eqnarray*}⑧ $2$ 個のサイコロを投げるとき、出る目の和が $5$ 以下になる確率を求めなさい。
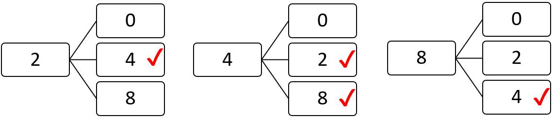
⑨ $\boxed{\large{\ 0\ }}$$\boxed{\large{\ 2\ }}$$\boxed{\large{\ 4\ }}$$\boxed{\large{\ 8\ }}$ と数字のかかれたカードが全部で $4$ 枚ある。この中から $2$ 枚のカードを抜き取ってならべ、$2$ けたの整数をつくるとき、 $6$ の倍数となる確率を求めなさい。
答え
$\boxed{\large{\ 1\ }}①18②\cfrac{23}{20}③72④-32x+y⑤-\cfrac{31}{24}a^2-\cfrac{4}{5}a\\ ⑥6a^2-5a-11⑦-24x+8y⑧-10x-25y⑨-10x-24y\\ ⑩\cfrac{-2x+7y}{12}\\\quad\left(-\cfrac{2x-7y}{12},-\cfrac{1}{6}x+\cfrac{7}{12}yも可\right)\\ ⑪-64x^7⑫\cfrac{1}{2}y⑬\cfrac{4x}{y}⑭x^2+x-56\\ ⑮x^2+20x+100⑯x^2-121\\ \boxed{\large{\ 2\ }}①x=-\cfrac{2}{3}②x=6③x=12,y=-13\\ \boxed{\large{\ 3\ }}①y=\cfrac{-14x+5}{10}\\ \left(y=-\cfrac{14x-5}{10}, \ y=-\cfrac{7}{5}x+\cfrac{1}{2}も可\right)②h=\cfrac{2S}{a+b}\\ ③-\cfrac{1}{9}④y=-2x⑤y=-\cfrac{450}{x}⑥y=\cfrac{1}{2}x-1\\ ⑦y=-\cfrac{3}{4}x+3⑧\cfrac{5}{18}⑨\cfrac{4}{9} $

赤でチェックしたところが $6$ の倍数。