数学 中2 学年末模擬テスト 第2回
ページがちゃんと表示されるまで$10$秒くらいかかります。
$ \boxed{\phantom{ho}}$←ここに四角形が表示されていたら準備OKです。
「印刷」をクリックすると同じ内容のpdfファイルが表示されます。また、解答用紙と答えも問題のあとに表示されます。1~7ページが問題、8ページが定義・定理のおさらい、9~12ページが解答用紙、13~16ページが答え、17ページが定義・定理のおさらいの答えです。必要におうじて印刷してください。
問題をクリックすると答えがでます。
ふつうのテストより問題数は多いです。なのでふつうのテストをやるときより時間がかかると思います。がんばって!
$\huge{1}$ 次の①~⑧の計算をしなさい。
$\qquad①$ $\quad 7+8\times(-3)\qquad ② \quad \cfrac{1}{2}-2+\cfrac{2}{3}$
答え
$①-17$ $②-\cfrac{5}{6}$
\begin{eqnarray*} &①& 7+8\times(-3)\\ &=& 7-24\\ &=&-17 \end{eqnarray*} \begin{eqnarray*} \require{cancel} &②& \cfrac{1}{2}-2+\cfrac{2}{3}\\ &=& \cfrac{3}{6}-\cfrac{12}{6}+\cfrac{4}{6}\\ &=& -\cfrac{5}{6} \end{eqnarray*}
$\qquad③$ $\quad -9+3\times(-3^2+5)\qquad ④ \quad -3(2a-b)+2(5a-3b)$
答え
$③-21$ $④4a-3b$
\begin{eqnarray*} &③& -9+3\times(-3^2+5)\\ &=& -9+3\times(-9+5)\\ &=&-9+3\times(-4)\\ &=&-9-12\\ &=&-21 \end{eqnarray*} \begin{eqnarray*} \require{cancel} &④& -3(2a-b)+2(5a-3b)\\ &=& -6a+3b+10a-6b\\ &=& -6a+10a+3b-6b\\ &=& 4a-3b \end{eqnarray*}
$\qquad⑤$ $\quad \cfrac{x-3y}{2}-\cfrac{6x-5y}{4}\qquad ⑥ \quad 15x^2y\times(-4x^3y^2)$
答え
$⑤\cfrac{-4x-y}{4} \ \left(-\cfrac{4x+y}{4}, \ -x-\cfrac{1}{4}y\right)$ $⑥-60x^5y^3$
\begin{eqnarray*} &⑤& \cfrac{x-3y}{2}-\cfrac{6x-5y}{4}\\ &=& \cfrac{2(x-3y)-(6x-5y)}{4}\\ &=& \cfrac{2x-6y-6x+5y}{4}\\ &=& \cfrac{2x-6x-6y+5y}{4}\\ &=& \cfrac{-4x-y}{4} \end{eqnarray*} \begin{eqnarray*} \require{cancel} &⑥& 15x^2y\times(-4x^3y^2)\\ &=& -60x^5y^3 \end{eqnarray*}
$\qquad⑦$ $\quad 8a\div(-36ab^2)\times6ab\qquad ⑧ \quad \cfrac{8}{15}x^2\div\cfrac{9}{20}x^2y^2\times\cfrac{45}{32}y^3$
答え
$⑦-\cfrac{4a}{3b}$ $⑧\cfrac{5}{3}y$
\begin{eqnarray*} \require{cancel} &⑦& 8a\div(-36ab^2)\times6ab\\ &=& -\cfrac{8a\times6ab}{36abb}\\ &=& -\cfrac{{}^2\bcancel{8}\bcancel{a}\times{}^2\bcancel{6}a\bcancel{b}}{{}^3\bcancel{{}^9}\bcancel{36}\bcancel{a}\bcancel{b}b}\\ &=& -\cfrac{4a}{3b} \end{eqnarray*} \begin{eqnarray*} \require{cancel} &⑧& \cfrac{8}{15}x^2\div\cfrac{9}{20}x^2y^2\times\cfrac{45}{32}y^3\\ &=& \cfrac{8xx}{15}\div\cfrac{9xxyy}{20}\times\cfrac{45yyy}{32}\\ &=& \cfrac{8xx}{15}\times\cfrac{20}{9xxyy}\times\cfrac{45yyy}{32}\\ &=& \cfrac{\bcancel{8}\bcancel{x}\bcancel{x}}{\bcancel{15}}\times\cfrac{\bcancel{20}}{\bcancel{9}\bcancel{x}\bcancel{x}\bcancel{y}\bcancel{y}}\times\cfrac{\bcancel{45}\bcancel{y}\bcancel{y}y}{\bcancel{32}}\\ &=&\cfrac{5}{3}y \end{eqnarray*}
$\huge{2}$ 次の ①~③の連立方程式を解きなさい。また、④の方程式を解きなさい。
\begin{eqnarray*}
① \ \left\{
\begin{array}{l}
x=-5y+1\\
2x+9y=-1
\end{array}
\right.
\qquad② \ \left\{
\begin{array}{l}
4x-3(3x-2y)=2x+1\\
10x-9y=2
\end{array}
\right.\\
\end{eqnarray*}
答え
$①\phantom{ho}\begin{eqnarray*}
\left\{
\begin{array}{l}
x=-14\\
y=3
\end{array}
\right.
\quad②
\left\{
\begin{array}{l}
x=-7\\
y=-8
\end{array}
\right.
\end{eqnarray*}$
①番 代入法で、①の式を②の式に代入して解きます。
\begin{eqnarray*}
&& \ \left\{
\begin{array}{l}
x=-5y+1\quad…①\\
2x+9y=-1\quad…②
\end{array}
\right.
\end{eqnarray*}
\begin{eqnarray*}
2\times(-5y+1)+9y&=&-1\\
-10y+2+9y&=&-1\\
-10y+9y&=&-1-2\\
-y&=&-3\\
y&=&3
\end{eqnarray*}
$y=3を①に代入$
\begin{eqnarray*}
x&=&-5\times3+1\\
&=&-15+1\\
&=&-14\\
\end{eqnarray*}
\begin{eqnarray*}
\left\{
\begin{array}{l}
x=-14\\
y=3
\end{array}
\right.
\end{eqnarray*}
②番 ①の式のかっこをはずし、整理します。加減法で、$y$ の係数をそろえて解きます。
\begin{eqnarray*}
&& \ \left\{
\begin{array}{l}
4x-3(3x-2y)=2x+1\quad…①\\
10x-9y=2\quad…②
\end{array}
\right.
\end{eqnarray*}
$①を整理$
\begin{eqnarray*}
4x-3(3x-2y)&=&2x+1\\
4x-9x+6y&=&2x+1\\
4x-9x+6y-2x&=&1\\
-7x+6y&=&1\quad…③
\end{eqnarray*}
$②\times2 \ + \ ③\times3$
\begin{eqnarray*}
20x-18y=4\phantom{-}\\
\underline{+) \quad -21x+18y=3}\phantom{-}\\
-x\phantom{++6y}=7\phantom{-}\\
x=-7
\end{eqnarray*}
$x=-7を②に代入$
\begin{eqnarray*}
10\times(-7)-9y&=&2\\
-70-9y&=&2\\
-9y&=&72\\
y&=&-8
\\
\left\{
\begin{array}{l}
x=-7\\
y=-8
\end{array}
\right.
\end{eqnarray*}
\begin{eqnarray*} ③ \ \left\{ \begin{array}{l} \cfrac{4}{3}x+y=1\\ 1.8x+1.5y=1.4\\ \end{array} \right. \qquad④ \quad 2x+3y=x+2y-1=3 \end{eqnarray*}
答え
$③\phantom{ho}\begin{eqnarray*}
\left\{
\begin{array}{l}
x=\cfrac{1}{2}\\
y=\cfrac{1}{3}
\end{array}
\right.
\quad④
\left\{
\begin{array}{l}
x=-6\\
y=5
\end{array}
\right.
\end{eqnarray*}$
③番 分数があるときは分母の公倍数をかけて分母をはらいます。小数があるときは $\times10$ や $\times100$ をして小数を消します。そのへんは $1$ 次方程式のときと同じです。そのあとは $x$ か $y$ の係数をそろえて足すか引くかして、$1$ 文字消去していけばいいです。
\begin{eqnarray*}
\left\{
\begin{array}{l}
\cfrac{4}{3}x+y=1\quad…①\\
1.8x+1.5y=1.4\quad…②
\end{array}
\right.
\end{eqnarray*}
$①の式に3をかけて分母をはらう$
\begin{eqnarray*}
\cfrac{4}{3}x+y&=&1\\
4x+3y&=&3\qquad…③
\end{eqnarray*}
$②の式に10をかけて小数をなくす$
\begin{eqnarray*}
1.8x+1.5y&=&1.4\\
18x+15y&=&14\qquad…④
\end{eqnarray*}
$③\times5\ - \ ④$
\begin{eqnarray*}
20x+15y=15\\
\underline{-) \quad 18x+15y=14}\\
2x\phantom{+115y}=\phantom{1}1\\
x=\cfrac{1}{2}
\end{eqnarray*}
\begin{eqnarray*}
x=\cfrac{1}{2}を③に代入\\
4\times\cfrac{1}{2}+3y&=&3\\
2+3y&=&3\\
3y&=&1\\
y&=&\cfrac{1}{3}\\
\\
\left\{
\begin{array}{l}
x=\cfrac{1}{2}\\
y=\cfrac{1}{3}
\end{array}
\right.
\end{eqnarray*}
④番 まんなかをかくした式をつくり、①とします。左側をかくした式をつくって整理し、②とします。①の式と②の式を連立させ、$x$ の係数をそろえて加減法で解きます。
まず、まんなかをかくせば、
$2x+3y=3$ という式ができます。
それから、左がわをかくせば、
$x+2y-1=3$ という式ができて、これを整理すれば、
$x+2y=4$ となります。
んで、この $2$ つの式を連立させて解いていくわけです。
\begin{eqnarray*}
\left\{
\begin{array}{l}
2x+3y=3\qquad…①\\
x+2y=4\qquad…②
\end{array}
\right.
\end{eqnarray*}
$①-②\times2$
\begin{eqnarray*}
2x+3y=\phantom{-}3\\
\underline{-) \quad 2x+4y=\phantom{-}8} \\
-y=-5 \\
y=\phantom{-}5
\end{eqnarray*}
\begin{eqnarray*}
y=5を②に代入\\
x+2\times5&=&4\\
x+10&=&4\\
x&=&4-10\\
x&=&-6
\\
\left\{
\begin{array}{l}
x=-6\\
y=5
\end{array}
\right.
\end{eqnarray*}
$\huge{3}$ 次の $①~③$ の問いに答えなさい。
$①$ 傾きが $-\cfrac{3}{4}$ で点$(-8,5)$を通る直線の式を求めなさい。
答え
$y=-\cfrac{3}{4}x-1$
「直線の式を求めよ」「1次関数の式を求めよ」「1次関数であるとき、$y$ を $x$ の式で表せ」といわれたら、答えの形は $y=ax+b$ で、 $a$ と $b$ を求めるのが目標になります。
傾きというのは1次関数のときは $a$ のことです。だから $a=-\cfrac{3}{4}$ です。これを $y=ax+b$ に代入します。すると
$$y=-\cfrac{3}{4}x+b$$
となります。あと、「点$(-8,5)$を通る」というのは、$x=-8$ のとき $y=5$ という意味です。これをこの $y=-\cfrac{3}{4}x+b$ に代入して、 $b$ を求めます。
\begin{eqnarray*}
5&=&-\cfrac{3}{4}\times(-8)+b\\
5&=&6+b\\
5-6&=&b\\
-1&=&b
\end{eqnarray*}
$②$ $2$ 点$(-2,4),(4,1)$ を通る $1$ 次関数の式を求めなさい。
答え
$y=-\cfrac{1}{2}x+3$
「直線の式を求めよ」「1次関数の式を求めよ」「1次関数であるとき、$y$ を $x$ の式で表せ」といわれたら、答えの形は $y=ax+b$ で、 $a$ と $b$ を求めるのが目標になります。
$2$ 点を通る直線の式をきかれたときは、
$$a=\cfrac{y_2-y_1}{x_2-x_1}$$
という公式を使って $a$ を求めましょう。
$2$ 点の座標 $(-2,4),(4,1)$ を $(x_1,y_1),(x_2,y_2)$ だということにして、上の公式にあてはめると、
\begin{eqnarray*}
a&=&\cfrac{y_2-y_1}{x_2-x_1}\\
&=&\cfrac{1-4}{4-(-2)}\\
&=&\cfrac{-3}{6}\\
&=&-\cfrac{1}{2}\\
\end{eqnarray*}
これで $a=-\cfrac{1}{2}$ だということがわかりました。これを $y=ax+b$ に代入して、
$$y=-\cfrac{1}{2}x+b$$
ここに、 $(-2,4),(4,1)$ のどちらかを代入して $b$ を求めます。代入するのはどっちでもよいです。今回は、 $(4,1)$ のほうをいれてみましょう。
\begin{eqnarray*}
1&=&-\cfrac{1}{2}\times4+b\\
1&=&-2+b\\
1+2&=&b\\
3&=&b
\end{eqnarray*}
これで $a=-\cfrac{1}{2}$ , $b=3$ というふうに、$a$ と $b$ が求められました。じゃあ答えを書きましょう。
$$y=-\cfrac{1}{2}x+3$$
$③$ $1$ 次関数 $y=-2x-5$ について、$x$ の変域が $-1 \leqq x \leqq 7$ のとき、$y$ の変域を求めなさい。
答え
$-19 \leqq y \leqq -3$
「$x$ の変域が $p \leqq x \leqq q$ のとき、$y$ の変域を求めなさい。」というお決まりの問題があって、こうきかれたときは、答えの形はこうです。 $$小 \leqq y \leqq 大$$ んで、小と大にそれぞれ、小さい数と大きい数を書いておけばいいです。小さい数と大きい数っていうのは、 $-1 \leqq x \leqq 7$ の $-1$ と $7$ をそれぞれ問題の $y=-2x-5$ の $x$ に代入してえられる数です。じゃあまず、 $x=-1$ を $y=-2x-5$ に代入します。 \begin{eqnarray*} y&=&-2\times(-1)-5\\ &=&2-5\\ &=&-3\\ \end{eqnarray*} 次に、 $x=7$ を $y=-2x-5$ に代入します。 \begin{eqnarray*} y&=&-2\times7-5\\ &=&-14-5\\ &=&-19\\ \end{eqnarray*} これで、$-3$ と $-19$ というふたつの数がえられました。これを小と大にあてはめればよいです。じゃあ答えを書きましょう。$$-19 \leqq y \leqq -3$$ これでOKです。ただし、 $y$ の変域をきかれたときのこのやり方は、3年生で習う「2乗に比例する関数$y=ax^2$」では通用しないから気をつけてください。
$\huge{4}$
右の図で、直線 $l$ , $m$ はそれぞれ $y=2x+3$ , $y=x-1$ のグラフである。直線$l$ と $y$軸との交点を$A$ とし、直線$m$ と $y$軸との交点を$B$ とする。また、直線$l$ と直線$m$ との交点を$P$ とする。このとき、以下の問いに答えなさい。
$(1)$ 点 $P$ の座標を求めなさい。
答え
$(-4, \ -5)$
$2$ 直線の交点は連立方程式の解です。直線 $l, \ m$ の式を連立方程式にして
\begin{eqnarray*}
\left\{
\begin{array}{l}
y=2x+3\\
y=x-1\\
\end{array}
\right.
\end{eqnarray*}
これを解けばいいです。解き方は、この手の連立方程式は代入法で、右辺 $=$ 右辺の式をたてて、$x$ を求めていきましょう。関数の問題でよく使うパターンです。
代入法で、右辺 = 右辺の式にして、これを解きます。
\begin{eqnarray*}
2x+3&=&x-1\\
2x-x&=&-1-3\\
x&=&-4\\
\end{eqnarray*}
$y=2x+3$ に $x=-4$ を代入して $y$ を求めます。
\begin{eqnarray*}
y&=&2×(-4)+3\\
&=&-8+3\\
&=&-5\\
\end{eqnarray*}
※座標をきかれているのだから、かならず座標の答え方で答えましょう。
$(2)$ $\triangle PAB$ の面積を求めなさい。
答え
$8$
三角形の面積は「底辺 $\times$ 高さ $\times\cfrac{1}{2}$」です。
$AB$ を底辺とします。すると高さは右図の $PC$ ということになります。それぞれの長さを求めて面積をだしましょう。
<$AB$ について>
$A$の$y$座標は$y=2x+3$の切片だから$3$。$B$の$y$座標は$y=x-1$の切片だから$-1$。だから$AB=4$。長さの話なのですから絶対値で考えるようにしましょう。
<$PC$ について>
$PC$ の長さは、点 $P$ の $x$ 座標をみればよいです。点 $P$ の $x$ 座標は $-4$ ですから、$PC$ の長さは $4$ です。これも長さの話なのですから絶対値をいうようにしましょう。
これで底辺と高さがわかりました。では面積をだしましょう。
$$4×4×\cfrac{1}{2}=8$$
$\huge{5}$ 下の図のなかから、合同な三角形の組をすべて見つけ、記号 $\equiv$ を使って表しなさい。また、そのときに使った合同条件をいいなさい。
答え
$\triangle ABC \ \equiv \ \triangle OMN$…$2$ 組の辺とその間の角がそれぞれ等しい。
$\triangle DEF \ \equiv \ \triangle QRP$…$1$ 組の辺とその両端の角がそれぞれ等しい。
$\triangle GHI \ \equiv \ \triangle LKJ$…$3$ 組の辺がそれぞれ等しい。
対応する辺や角に注意する。
$\huge{6}$
以下の①~③について、仮定と結論をいいなさい。
① $AB=AC$ ならば、$\angle ABC=\angle ACB$ である。
② $4x+3=2x-1$ ならば、$x=-2$ である。
③ 平行四辺形$ABCD$ において、$AC=BD$ ならば、長方形である。
答え
① 仮定…$AB=AC$ 結論…$\angle ABC=\angle ACB$
② 仮定…$4x+3=2x-1$ 結論…$x=-2$
③ 仮定…平行四辺形$ABCD$ において、$AC=BD$ 結論…平行四辺形$ABCD$ は長方形

$\huge{7}$
右の図において、$AB=AC, \ \angle ABE=\angle ACD$ であるならば、$AD=AE$ となる。これについて、以下の①,②の問いに答えなさい。
① 仮定と結論をいいなさい。
② $AD=AE$ を証明しなさい。
答え
① 〈仮定〉 $AB=AC, \ \angle ABE=\angle ACD$
〈結論〉 $AD=AE$
② 〈証明〉
$\triangle ABE$ と $\triangle ACD$ で、
仮定から、
$AB=AC$ ……①
$\angle ABE=\angle ACD$ ……②
共通な角だから、$\triangle BAE = \triangle CAD$ ……③
①②③より、$1$ 組の辺とその両端の角がそれぞれ等しいので
$\triangle ABE \ \equiv \ \triangle ACD$
合同な三角形の対応する辺なので
$AD=AE$


$\huge{8}$
右の図で、$AC=DC=DB$ であるとき、$\angle x$ の大きさを求めなさい。
答え
$\angle x=\cfrac{69}{2}^{ \circ }\quad(34.5^{ \circ })$

$AC=DC$ なのですから、$\triangle CAD$ は 二等辺三角形です。なので、$\triangle CAD$ で考えて、
\begin{eqnarray*}
\angle CDA&=&(180^{ \circ }-\angle ACD)\div2\\
&=&(180^{ \circ }-42^{ \circ })\div2\\
&=&69^{ \circ }
\end{eqnarray*}

$DC=DB$ なのですから、$\triangle DBC$ は 二等辺三角形です。なので、$\angle DBC=\angle DCB$ です。$\angle DBC=x$ とするならば、$\angle DCB=x$ です。
三角形の外角は、それととなり合わない $2$ つの内角の和に等しいです。$\triangle DBC$ で考えて、
\begin{eqnarray*}
&&\angle DBC+\angle DCB\\
&=&x+x\\
&=&2x=69^{ \circ }
\end{eqnarray*}
なので $\angle x=\cfrac{69}{2}^{ \circ }\quad(34.5^{ \circ })$

$\huge{9}$
右の図で、$AB=DC,$ $\angle ABC =\angle DCB$ ならば、$\triangle EBC$ は二等辺三角形であることを証明しなさい。
答え
〈証明〉
$\triangle ABC$ と $\triangle DCB$ で、
仮定から、$AB=DC$ ……①
$\angle ABC =\angle DCB$ ……②
共通な辺だから、
$BC=CB$ ……③
①②③より、$2$組の辺とその間の角がそれぞれ等しいので、
$\triangle ABC \ \equiv \ \triangle DCB$
合同な図形の対応する角だから、$\angle ACB=\angle DBC$
$2$つの角が等しい三角形だから、$\triangle EBC$ は二等辺三角形である
定理 $2$つの角が等しい三角形は二等辺三角形である。

$\huge{10}$
右の図で、$C$ は $BD$ 上の点であり、$\triangle ABC$ と $\triangle ECD$ はどちらも正三角形である。$AD=BE$ であることを証明しなさい。
答え
〈証明〉
$\triangle ACD$ と $\triangle BCE$ で、
$\triangle ABC$ は正三角形だから、$AC=BC$ ……①
$\triangle ECD$ は正三角形だから、$CD=CE$ ……②
$\angle ACD$ は正三角形$ABC$ の外角だから $120^{ \circ }$
$\angle BCE$ は正三角形$ECD$ の外角だから $120^{ \circ }$
したがって、$\angle ACD=\angle BCE$ ……③
①②③より、$2$組の辺とその間の角がそれぞれ等しいので、
$\triangle ACD \ \equiv \ \triangle BCE$
合同な図形の対応する辺だから、$AD=BE$
正三角形の $3$つの辺の長さは等しいです。(定義)
正三角形の $3$つの角の大きさは等しくて、すべて $60^{ \circ }$ です。
$\huge{11}$
次の①~③のことがらの逆をいいなさい。また、それは成り立つか。
① $2$直線が平行ならば、錯角は等しい。
② $x=10, \ y=3$ ならば、$x-y=7$
③ $\triangle ABC$で、$\angle B =\angle C$ ならば、$AB=AC$
答え
① 錯角が等しいならば、$2$直線は平行である。 …成り立つ
② $x-y=7$ ならば、$x=10, \ y=3$ …成り立たない
③ $\triangle ABC$で、$AB=AC$ならば、$\angle B =\angle C$ …成り立つ
仮定と結論をいれかえたものを逆といいます。
逆はつねに成り立つとは限りません。成り立つこともあれば、成り立たないこともあります。
$\huge{12}$
下の図のなかから、合同な三角形の組を見つけ、記号 $\equiv$ を使って表しなさい。また、そのときに使った合同条件をいいなさい。
答え
$\triangle ABC \ \equiv \ \triangle PQR$…直角三角形で、斜辺と$1$鋭角がそれぞれ等しい。
$\triangle DEF \ \equiv \ \triangle MNO$…直角三角形で、斜辺と他の$1$辺がそれぞれ等しい。
$\triangle GHI \ \equiv \ \triangle LJK$…$2$ 組の辺とその間の角がそれぞれ等しい。
※対応する辺や角に注意しましょう。
※直角三角形の合同条件をいうときは、「直角三角形で」と最初にいうのを忘れないようにしましょう。
$\huge{13}$
右の図の$\triangle ABC$で、$AB=AC,$ $\angle BEC =\angle CDB =90^{ \circ }$である。$BE$ と $CD$ の交点を $F$ とすると、$\triangle FBC$ は二等辺三角形であることを証明しなさい。
答え
〈証明〉
$\triangle DBC$ と $\triangle ECB$ で、
仮定から、$\angle BEC =\angle CDB =90^{ \circ }$ ……①
二等辺三角形の底角だから、$\angle DBC=\angle ECB$ ……②
共通な辺だから、$BC=CB$ ……③
①②③より、直角三角形で、斜辺と$1$鋭角がそれぞれ等しいので
$\triangle DBC \ \equiv \ \triangle ECB$
合同な図形の対応する角だから、
$\angle DCB =\angle EBC$
$2$つの角が等しい三角形だから、$\triangle FBC$ は二等辺三角形である
$\huge{14}$
下の図の四角形 $ABCD$ と四角形 $EFGH$ はどちらも平行四辺形である。$x, \ y, \ z$ の値をそれぞれ求めなさい。また、そのときに利用した平行四辺形の性質をいいなさい。
答え
$x=7$ 平行四辺形の$2$組の対辺はそれぞれ等しい。
$y=115$ 平行四辺形の$2$組の対角はそれぞれ等しい。
$z=5$ 平行四辺形の$2$つの対角線はぞれぞれの中点で交わる。
$\huge{15}$ 右の ▱$ABCD$ で、$E, \ F$ は対角線上の点である。また、$BE=DF$ である。
$\angle BAE =\angle DCF$ であることを証明しなさい。
答え
〈証明〉
$\triangle ABE$ と $\triangle CDF$ で、
仮定から、$BE=DF$……①
平行線の錯角だから、$\angle ABE =\angle CDF $ ……②
平行四辺形の対辺だから、$AB=CD$ ……③
①②③より、$2$組の辺とその間の角がそれぞれ等しいので、
$\triangle ABE \ \equiv \ \triangle CDF$
合同な図形の対応する角だから、
$\angle BAE =\angle DCF$
$\triangle ABE \ \equiv \ \triangle CDF$ を証明すればいいです。合同条件は $2$辺挟角です。
$\huge{16}$
右の四角形 $ABCD$ が①~③の条件をみたすとき、平行四辺形であるといえるか。また、いえるときは、平行四辺形であるための条件をいいなさい。
① $AB = DC, \ AD = BC$
② $\angle ABC=\angle BAD, \ \angle DCB=\angle CDA$
③ $OA=OC, \ OB=OD$
答え
①…いえる $2$組の対辺がそれぞれ等しい
②…いえない
③…いえる $2$つの対角線がぞれぞれの中点で交わる
$\huge{17}$
右の ▱$ABCD$ で、$O$ は対角線の交点である。また、$E, \ F$ は対角線上の点であり、$AE=CF$ である。
四角形 $BEDF$ が平行四辺形であることを証明しなさい。
答え
〈証明〉
▱$ABCD$の対角線だから、
$BO=DO$ ……①
$AO=CO$ ……②
仮定から、$AE=CF$ ……③
②③より、$AO-AE=CO-CF$
したがって、$EO=FO$ ……④
①④より、$2$つの対角線がそれぞれの中点で交わるので、
四角形 $BEDF$ は平行四辺形である
$\huge{18}$
特別な平行四辺形の $2$つの対角線について、次の表に〇か×をいれなさい。
\begin{array}{c|c|c|c}
\hline
& ひし形 & 長方形 & 正方形 \\
\hline
垂直に交わる & & & \\
\hline
長さが等しい & & & \\
\hline
\end{array}
答え
\begin{array}{c|c|c|c}
\hline
& ひし形 & 長方形 & 正方形 \\
\hline
垂直に交わる & 〇 & × & 〇 \\
\hline
長さが等しい & × & 〇 & 〇 \\
\hline
\end{array}
$\huge{19}$
下の四角形$ABCD$ に線をかきくわえて、面積が等しい三角形をかきなさい。また、そのときの手順を説明しなさい。
答え

①辺$BC$ を $C$側に延長する。
②$A$ と $C$ をむすぶ。
③$D$ を通り、$AC$ と平行な線をひき、半直線$BC$ との交点を $E$ とする。
④$A$ と $E$ をむすぶ。
$\triangle ABE$ は四角形$ABCD$ と面積が等しい。
①辺$BC$ を $C$側に延長します。
②$A$ と $C$ をむすびます。
③$D$ を通り、$AC$ と平行な線をひき、半直線$BC$ との交点を $E$ とします。平行な線は、だいたい見た感じで平行になってればOKです。コンパスとか使ってなくていいです。そういうことになってます。
④$A$ と $E$ をむすびます。
$\triangle ABE$ と 四角形$ABCD$ の面積は等しいです。理由は、$\triangle ACE =\triangle ACD$ だからです。どちらの三角形も、$AC$ を底辺とすれば、高さの長さ(赤線のところ)が同じになります。(⑤⑥)
この答えでは、辺$BC$ を $C$側に延長して三角形をつくりましたが、このほかにもいくつか、面積の等しい三角形がかけます。同じやり方をしていれば、どれをかいてもOKです。
このようにして、面積の等しい図形をつくることを、数学では等積変形といいます。
この問題の手順を利用するととてもラクになる問題が、関数でよく出題されます。また、この等積変形の考え方を利用しないと、たぶん解けない問題が、特に私立高校の入試問題でよく出題されます。なので、ぜひおぼえておきたい手順です。
$\huge{20}$
右の ▱$ABCD$ で、$EF /\!/ AC$ である。
$\triangle FBC$ と面積が等しい三角形を $2$ついいなさい。
答え $\triangle FAC$ $\triangle EAC$
$FC$ を底辺とすれば、$\triangle FBC$ と $\triangle FAC$ は面積が等しいことがいえます。
$AC$ を底辺とすれば、$\triangle FAC$ と $\triangle EAC$ は面積が等しいことがいえます。
$\huge{21}$
次の①~⑧の確率を求めなさい。
①さいころを投げて、$6$ の目が出る確率
②さいころを投げて、$6$ 以上の目が出る確率
③さいころを投げて、$6$ より大きい目が出る確率
④さいころを投げて、$6$ 以下の目が出る確率
⑤さいころを投げて、$6$ より小さい目が出る確率
⑥さいころを投げて、$3$ か $4$ の目が出る確率
⑦さいころを投げて、奇数の目が出る確率
⑧さいころを投げて、$2$ の倍数の目が出る確率
答え
①$\cfrac{1}{6}$ ②$\cfrac{1}{6}$ ③$0$ ④$1$ ⑤$\cfrac{5}{6}$ ⑥$\cfrac{1}{3}$ ⑦$\cfrac{1}{2}$ ⑧$\cfrac{1}{2}$
②「以上」なので $6$ は入ります。
③「より大きい」なので $6$ は入りません。$\cfrac{0}{6}=0$
④「以下」なので $6$ は入ります。$\cfrac{6}{6}=1$
⑤「より小さい」なので $6$ は入りません。
⑥$\cfrac{2}{6}=\cfrac{1}{3}$
⑦奇数は $1, \ 3, \ 5$ の $3$ 通りです。$\cfrac{3}{6}=\cfrac{1}{2}$
⑧$2$ の倍数は $2, \ 4, \ 6$ の $3$ 通りです。$\cfrac{3}{6}=\cfrac{1}{2}$
$\huge{22}$
次の①~⑧の確率を求めなさい。
①ジョーカーを除いた $52$ 枚のトランプから $1$ 枚引くとき、絵札である確率
②ジョーカーを除いた $52$ 枚のトランプから $1$ 枚引くとき、絵札でない確率
③ジョーカーを除いた $52$ 枚のトランプから $1$ 枚引くとき、ハートである確率
④ジョーカーを除いた $52$ 枚のトランプから $1$ 枚引くとき、ハートでない確率
⑤硬貨を投げて、表が出る確率
⑥硬貨を投げて、裏が出る確率
⑦袋の中に赤玉$6$個と白玉$8$個が入っている。ここから玉を$1$個取り出すとき、赤玉である確率
⑧袋の中に赤玉$6$個と白玉$8$個が入っている。ここから玉を$1$個取り出すとき、赤玉でない確率
⑨箱の中にくじが $14$ 本入っていて、そのうちの $6$ 本が当たりである。ここからくじを $1$ 本引くとき、当たりである確率
答え
①$\cfrac{3}{13}$ ②$\cfrac{10}{13}$ ③$\cfrac{1}{4}$ ④$\cfrac{3}{4}$ ⑤$\cfrac{1}{2}$ ⑥$\cfrac{1}{2}$ ⑦$\cfrac{3}{7}$ ⑧$\cfrac{4}{7}$ ⑨$\cfrac{3}{7}$
①絵札は$12$枚です。$\cfrac{12}{52}=\cfrac{3}{13}$
②絵札でないのは$40$枚です。$\cfrac{40}{52}=\cfrac{10}{13}$
③ハートは$13$枚です。$\cfrac{13}{52}=\cfrac{1}{4}$
④ハートでないのは$39$枚です。$\cfrac{39}{52}=\cfrac{3}{4}$
⑦$\cfrac{6}{14}=\cfrac{3}{7}$
⑧$\cfrac{8}{14}=\cfrac{4}{7}$
⑨$\cfrac{6}{14}=\cfrac{3}{7}$
$\huge{23}$
$1$ 枚の硬貨を $3$ 回投げるとき、次の①~④の問いに答えなさい。
① 表を〇,裏を×として樹形図をかきなさい。
② $3$ 枚とも表である確率を求めなさい。
③ $1$ 枚が表、$2$ 枚が裏である確率を求めなさい。
④ 少なくとも $1$ 枚が表である確率を求めなさい。
答え
① 右図
② $\cfrac{1}{8}$
③ $\cfrac{3}{8}$
④ $\cfrac{7}{8}$
答えのような図を樹形図といいます。しらみつぶしに全パターンを調べるのに便利です。
右側の足の数を数えてください。それの本数が、全部で何パターンあるか、というのを表すことになります。全部で $8$ 通りのパターンがあります。なので分母は $8$ です。
下の図で、赤でチェックしてあるところが、問題に該当するところです。
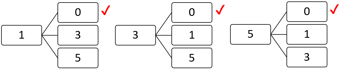
$\huge{24}$ $\boxed{\large{\ 0\ }}$$\boxed{\large{\ 1\ }}$$\boxed{\large{\ 3\ }}$$\boxed{\large{\ 5\ }}$ と数字のかかれたカードが全部で $4$ 枚ある。この中から $2$ 枚のカードを抜き取ってならべ、$2$ けたの整数をつくるとき、偶数となる確率を求めなさい。
答え
$\cfrac{1}{3}$
「$2$ 枚のカードを抜き取ってならべ、$2$ けたの整数をつくる」というのは、たとえば、$\boxed{\large{\ 3\ }}$$\boxed{\large{\ 1\ }}$ というのは、$31$ だということになります。左が $10$ の位で、右が $1$ の位です。
気をつけなければならないのは、左側に $\boxed{\large{\ 0\ }}$ のカードは置けない、ということです。
$\boxed{\large{\ 0\ }}$$\boxed{\large{\ 1\ }}$ とか $\boxed{\large{\ 0\ }}$$\boxed{\large{\ 3\ }}$ とかは、$2$ けたの整数とはいえません。
そのようなことをふまえて、樹形図をかきます。
足の本数が、全部で何パターンあるか、というのを表すことになります。全部で $9$ 通りのパターンがあります。なので分母は $9$ です。
赤でチェックしてあるところが、問題に該当するところです。なので、
$$\cfrac{3}{9}=\cfrac{1}{3}$$
$\huge{25}$
大小 $2$つのさいころを投げるとき、次の①~③の問いに答えなさい。
① 同じ目が出る確率を求めなさい。
② 出る目の積が$9$ より小さくなる確率を求めなさい。
③ 出る目の差の絶対値が$2$ 以下になる確率を求めなさい。
答え
① $\cfrac{1}{6}$ ② $\cfrac{4}{9}$ ③ $\cfrac{2}{3}$
①樹形図をかいてもいけます。関数の座標のかき方みたいなのをかいてもいいです。右の図のような表をかいてもいいです。すきなやり方でやってください。ここでは表でやっておきます。
目の出方は、表のマス目の数だけパターンがあります。なので $36$ パターンあります。分母は $36$ です。
表で、出た目がおなじところに〇印をつけます。ここが問題に該当するところです。
なので、
$$\cfrac{6}{36}=\cfrac{1}{6}$$
②出る目の積を表にかきこんでしまいます。「$9$ より小さい」というのは、$9$ がふくまれません。なので、色のついているところが問題に該当するところです。なので、
$$\cfrac{16}{36}=\cfrac{4}{9}$$
③出る目の差を表にかきこんでしまいます。「$2$以下」というのは、$2$ がふくまれます。なので、色のついているところが問題に該当するところです。なので、
$$\cfrac{24}{36}=\cfrac{2}{3}$$
$\huge{26}$
袋の中に赤玉が $4$ 個と白玉が $2$ 個入っている。次の①,②の問いに答えなさい。
①袋の中から玉を $1$ 個取り出してからそれを袋にもどし、また玉を $1$ 個取り出す。このとき、取り出した玉の色が同じである確率を求めなさい。
②袋の中から玉を $2$ 個同時に取り出すとき、取り出した玉の色が同じである確率を求めなさい。
答え
① $\cfrac{5}{9}$ ② $\cfrac{7}{15}$
<①の問題>
①,②,③,④,⑤,⑥と、$6$ 個の玉に番号をつけてしまいます。そして、①と②と③と④が赤玉、⑤と⑥が白玉ということにします。①②③④⑤⑥という感じです。
んで、樹形図をかいてもいけます。または、関数の座標のかき方みたいなのをかいてもいいです。図のような表をかいてもいいです。すきなやり方でやってください。ここでは表でやっていきます。
玉の出方は、表のマス目の数だけパターンがあります。なので $36$ パターンあります。分母は $36$ です。
表で、玉の色がおなじところに〇印をつけます。ここが問題に該当するところです。
なので、
$$\cfrac{20}{36}=\cfrac{5}{9}$$
<②の問題>
玉に番号をつけるところは同じです。今回も表でやりますが、はじめの問題とちがうのは、今回は同じ玉を取り出すことはできません。はじめの問題では、たとえば①①というふうに、同じ玉を$2$ 回取り出せますが、今回はそれができません。こういうときは、表に斜めの線がはいります。こんな感じです。
線をいれたのはもちろん、「同じ番号の玉はとり出せない」という意味です。
玉の出方は、表のマス目の数だけパターンがあります。なので $30$ パターンあります。分母は $30$ です。
表で、玉の色がおなじところに〇印をつけます。ここが問題に該当するところです。
なので、
$$\cfrac{14}{30}=\cfrac{7}{15}$$
$\Large{定義・定理のおさらい}$
合同な図形の性質
① 合同な図形では、対応する線分 の長さはそれぞれ等しい。
② 合同な図形では、 対応する角 の大きさはそれぞれ等しい。
三角形の合同条件
① $3$ 組の辺 がそれぞれ等しい。
② $2$ 組の辺とその間の角 がそれぞれ等しい。
③ $1$ 組の辺とその両端の角 がそれぞれ等しい。
二等辺三角形
① 用語や記号の意味をはっきりとのべたものを 定義 という。
② $2$つの 辺の長さ が等しい三角形を二等辺三角形という。
③ $3$つの辺の長さが等しい三角形を 正三角形 という。
④ すでに証明されたことのうちで、いろいろな証明をするときによく使われるものを 定理 という。
⑤ 二等辺三角形の 低角 は等しい。
⑥ 二等辺三角形の頂角の二等分線は、底辺を 垂直に二等分 する。
直角三角形
① あることがらの仮定と結論をいれかえたものを 逆 という。
② $1$つの角が直角である三角形を直角三角形といい、直角に対する辺を 斜辺 という。
③ $1$つの角が直角である二等辺三角形を 直角二等辺三角形 という。
④ $90^{ \circ }$より小さい角を 鋭角 という。
⑤ $90^{ \circ }$より大きい角を 鈍角 という。
⑥ $3$つの角がすべて $90^{ \circ }$より小さい三角形を 鋭角 三角形という。
⑦ $1$つの角が $90^{ \circ }$より大きい三角形を 鈍角 三角形という。
直角三角形の合同条件
① 斜辺と他の$1$辺 がそれぞれ等しい。
② 斜辺と$1$鋭角 がそれぞれ等しい。
平行四辺形
① 四角形の向かい合う辺を 対辺、向かい合う角を 対角 という。
② $2$組の対辺がそれぞれ 平行な 四角形を平行四辺形という。(定義)
平行四辺形の性質
① $2$組の 対辺 はそれぞれ等しい。
② $2$組の 対角 はそれぞれ等しい。
③ $2$つの 対角線 はそれぞれの 中点 で交わる。
平行四辺形であるための条件
四角形は次のどれかが成り立つとき、平行四辺形である。
① $2$組の 対辺 がそれぞれ等しい。
② $2$組の 対角 がそれぞれ等しい。
③ $2$つの 対角線 がそれぞれの 中点 で交わる。
④ $1$組の 対辺 が 平行で長さ が等しい。
特別な平行四辺形
① $4$つの辺が等しい四角形を ひし形 という。(定義)
② $4$つの角が等しい四角形を 長方形 という。(定義)
③ $4$つの辺が等しく、$4$つの角が等しい四角形を 正方形 という。(定義)
また、それぞれの $2$つの対角線は次のような性質がある。
④ ひし形の対角線は、垂直に 交わる。
⑤ 長方形の対角線は、長さが 等しい。
⑥ 正方形の対角線は、垂直 で 長さが 等しい。
答え(中2 学年末模擬テスト 第2回)
1$①-17$ $②-\cfrac{5}{6}$ $③-21$ $④4a-3b$ $⑤\cfrac{-4x-y}{4} \ \left(-\cfrac{4x+y}{4}, \ -x-\cfrac{1}{4}y\right)$ $⑥-60x^5y^3$ $⑦-\cfrac{4a}{3b}$ $⑧\cfrac{5}{3}y$
2$①x=-14, \ y=3$ $②x=-7, \ y=-8$ $③x=\cfrac{1}{2}, \ y=\cfrac{1}{3}$ $④x=-6, \ y=5$
3$①y=-\cfrac{4}{3}x-1$ $②y=-\cfrac{1}{2}x+3$ $③-19 \leqq y \leqq -3$
4$(1) \ (-4, \ -5)$ $(2) \ 8$
5$\triangle ABC \ \equiv \ \triangle OMN$…$2$ 組の辺とその間の角がそれぞれ等しい。
$\triangle DEF \ \equiv \ \triangle QRP$…$1$ 組の辺とその両端の角がそれぞれ等しい。
$\triangle GHI \ \equiv \ \triangle LKJ$…$3$ 組の辺がそれぞれ等しい。
6 ① 仮定…$AB=AC$ 結論…$\angle ABC=\angle ACB$
② 仮定…$4x+3=2x-1$ 結論…$x=-2$
③ 仮定…平行四辺形$ABCD$ において、$AC=BD$ 結論…平行四辺形$ABCD$ は長方形
7① 〈仮定〉 $AB=AC, \ \angle ABE=\angle ACD$
〈結論〉 $AD=AE$
② 〈証明〉
$\triangle ABE$ と $\triangle ACD$ で、
仮定から、
$AB=AC$ ……①
$\angle ABE=\angle ACD$ ……②
共通な角だから、$\triangle BAE = \triangle CAD$ ……③
①②③より、$1$ 組の辺とその両端の角がそれぞれ等しいので
$\triangle ABE \ \equiv \ \triangle ACD$
合同な三角形の対応する辺なので
$AD=AE$
8 $\angle x=\cfrac{69}{2}^{ \circ }\quad(34.5^{ \circ })$
9 〈証明〉
$\triangle ABC$ と $\triangle DCB$ で、
仮定から、$AB=DC$ ……①
$\angle ABC =\angle DCB$ ……②
共通な辺だから、
$BC=CB$ ……③
①②③より、$2$組の辺とその間の角がそれぞれ等しいので、
$\triangle ABC \ \equiv \ \triangle DCB$
合同な図形の対応する角だから、$\angle ACB=\angle DBC$
$2$つの角が等しい三角形だから、$\triangle EBC$ は二等辺三角形である
10 〈証明〉
$\triangle ACD$ と $\triangle BCE$ で、
$\triangle ABC$ は正三角形だから、$AC=BC$ ……①
$\triangle ECD$ は正三角形だから、$CD=CE$ ……②
$\angle ACD$ は正三角形$ABC$ の外角だから $120^{ \circ }$
$\angle BCE$ は正三角形$ECD$ の外角だから $120^{ \circ }$
したがって、$\angle ACD=\angle BCE$ ……③
①②③より、$2$組の辺とその間の角がそれぞれ等しいので、
$\triangle ACD \ \equiv \ \triangle BCE$
合同な図形の対応する辺だから、$AD=BE$
11 ① 錯角が等しいならば、$2$直線は平行である。 …成り立つ
② $x-y=7$ ならば、$x=10, \ y=3$ …成り立たない
③ $\triangle ABC$で、$AB=AC$ならば、$\angle B =\angle C$ …成り立つ
12 $\triangle ABC \ \equiv \ \triangle PQR$…直角三角形で、斜辺と$1$鋭角がそれぞれ等しい。
$\triangle DEF \ \equiv \ \triangle MNO$…直角三角形で、斜辺と他の$1$辺がそれぞれ等しい。
$\triangle GHI \ \equiv \ \triangle LJK$…$2$ 組の辺とその間の角がそれぞれ等しい。
13 〈証明〉
$\triangle DBC$ と $\triangle ECB$ で、
仮定から、$\angle BEC =\angle CDB =90^{ \circ }$ ……①
二等辺三角形の底角だから、$\angle DBC=\angle ECB$ ……②
共通な辺だから、$BC=CB$ ……③
①②③より、直角三角形で、斜辺と$1$鋭角がそれぞれ等しいので
$\triangle DBC \ \equiv \ \triangle ECB$
合同な図形の対応する角だから、
$\angle DCB =\angle EBC$
$2$つの角が等しい三角形だから、$\triangle FBC$ は二等辺三角形である
14 $x=7$ 平行四辺形の$2$組の対辺はそれぞれ等しい。
$y=115$ 平行四辺形の$2$組の対角はそれぞれ等しい。
$z=5$ 平行四辺形の$2$つの対角線はぞれぞれの中点で交わる。
15 〈証明〉
$\triangle ABE$ と $\triangle CDF$ で、
仮定から、$BE=DF$……①
平行線の錯角だから、$\angle ABE =\angle CDF $ ……②
平行四辺形の対辺だから、$AB=CD$ ……③
①②③より、$2$組の辺とその間の角がそれぞれ等しいので、
$\triangle ABE \ \equiv \ \triangle CDF$
合同な図形の対応する角だから、
$\angle BAE =\angle DCF$
16 ①…いえる $2$組の対辺がそれぞれ等しい
②…いえない
③…いえる $2$つの対角線がぞれぞれの中点で交わる
17 〈証明〉
▱$ABCD$の対角線だから、
$BO=DO$ ……①
$AO=CO$ ……②
仮定から、$AE=CF$ ……③
②③より、$AO-AE=CO-CF$
したがって、$EO=FO$ ……④
①④より、$2$つの対角線がそれぞれの中点で交わるので、
四角形 $BEDF$ は平行四辺形である
18
\begin{array}{c|c|c|c}
\hline
& ひし形 & 長方形 & 正方形 \\
\hline
垂直に交わる & 〇 & × & 〇 \\
\hline
長さが等しい & × & 〇 & 〇 \\
\hline
\end{array}
19
①辺$BC$ を $C$側に延長する。
②$A$ と $C$ をむすぶ。
③$D$ を通り、$AC$ と平行な線をひき、半直線$BC$ との交点を $E$ とする。
④$A$ と $E$ をむすぶ。
$\triangle ABE$ は四角形$ABCD$ と面積が等しい。
20 $\triangle FAC$ $\triangle EAC$
21 ①$\cfrac{1}{6}$ ②$\cfrac{1}{6}$ ③$0$ ④$1$ ⑤$\cfrac{5}{6}$ ⑥$\cfrac{1}{3}$ ⑦$\cfrac{1}{2}$ ⑧$\cfrac{1}{2}$
22 ①$\cfrac{3}{13}$ ②$\cfrac{10}{13}$ ③$\cfrac{1}{4}$ ④$\cfrac{3}{4}$ ⑤$\cfrac{1}{2}$ ⑥$\cfrac{1}{2}$ ⑦$\cfrac{3}{7}$ ⑧$\cfrac{4}{7}$ ⑨$\cfrac{3}{7}$
23
① 右図
② $\cfrac{1}{8}$
③ $\cfrac{3}{8}$
④ $\cfrac{7}{8}$
24 $\cfrac{1}{3}$
25 ① $\cfrac{1}{6}$ ② $\cfrac{4}{9}$ ③ $\cfrac{2}{3}$
26 ① $\cfrac{5}{9}$ ② $\cfrac{7}{15}$