数学 中2 3章 $1$ 次関数 第1回(全25問)
ページがちゃんと表示されるまで$10$秒くらいかかります。印刷するときは、ちょっと待ってからにしてください。
$ \boxed{\phantom{ho}}$←ここに四角形が表示されていたら準備OKです。
問題をクリックすると答えがでます。
(1) $1$ 次関数の式の形は $ \boxed{\LARGE\phantom{hogehoge}}$
$a$ の呼び方は
$\boxed{\LARGE\phantom{hogehoge}}$ $\boxed{\LARGE\phantom{hogehoge}}$ $\boxed{\Huge\phantom{hogehoge}}$
$b$ の呼び方は $\boxed{\LARGE\phantom{hogehoge}}$
$a \gt 0$ のとき、グラフは $\boxed{\LARGE\phantom{hogehoge}}$ の直線
$a \lt 0$ のとき、グラフは $\boxed{\LARGE\phantom{hogehoge}}$ の直線
答え
$y=ax+b$, 傾き, 変化の割合, $\cfrac{xの増加量\phantom{ }}{yの増加量\phantom{ }}$,
切片($y$ 切片), 右上がり, 右下がり
$a\gt0$ ($a$ がプラス)のとき、右上がりの直線になります。
$a\lt0$ ($a$ がマイナス)のとき、右下がりの直線になります。
$b$ は $y$ 軸上のどこを通るか、と思ってしまうといいです。
(2) 1次関数 $y=-4x+3$ について、 $x$ の値が $1$ から $4$ まで増加したときの、次の値を求めなさい。
① $x$ の増加量
② $y$ の増加量
③変化の割合
答え
① $3$
② $-12$
③ $-4$
① $x$ の増加量をきかれたときは、問題の「 $x$ の値が $1$ から $4$ まで増加したときの」という部分を見て答えればよいです。$1$ が $4$ になったわけだから、$3$ 増えましたよね? だから $3$ と答えればOKです。
③ ②の問題をとばして、さきにこちらを答えてしまいます。変化の割合というのは1次関数のときは $y=ax+b$ の $a$ のことだとおもっちゃえばいいです。だから $y=-4x+3$ の $-4$ の部分を答えれば正解です。テストのときはそう答えてしまいましょう。計算もなんもないです。 $x$ の直前に書いてある数を答えればいいです。ただし、変化の割合をきかれたときのこの答え方は1次関数のときだけしか通用しないから気をつけてください。
②1次関数で $y$ の増加量をきかれたときは、
$y$ の増加量 = $x$ の増加量 × 変化の割合
です。理由は単純で、「$変化の割合=\cfrac{yの増加量\phantom{増加}}{xの増加量\phantom{増加}}$」だからです。変形したら $y$ の増加量 = $x$ の増加量 × 変化の割合 になりますよね? 1次関数のときはこれでうまくいくので、テストのときはこれでやっちゃいましょう。そのほうがラクだしはやいしミスもすくない。というわけでこの問題は $3 \times (-4) = -12$ が答えです。ただし、$y$ の増加量をきかれたときのこのやり方は、これも1次関数のときしか通用しないやり方だから気をつけてください。
(3) 変化の割合が $-\cfrac{1}{2}$ で点$(4,2)$を通る直線の式を求めなさい。
答え
$y=-\cfrac{1}{2}x+4$
「直線の式を求めよ」「1次関数の式を求めよ」「1次関数であるとき、$y$ を $x$ の式で表せ」といわれたら、答えの形は $y=ax+b$ で、 $a$ と $b$ を求めるのが目標になります。
変化の割合というのは1次関数のときは $a$ のことです。だから $a=-\cfrac{1}{2}$ です。これを $y=ax+b$ に代入します。すると
$$y=-\cfrac{1}{2}x+b$$
となります。あと、「点$(4,2)$を通る」というのは、$x=4$ のとき $y=2$ という意味です。これをこの $y=-\cfrac{1}{2}x+b$ に代入して、 $b$ を求めます。
\begin{eqnarray*}
2&=&-\cfrac{1}{2}×4+b\\
2&=&-2+b\\
2+2&=&b\\
4&=&b
\end{eqnarray*}
$b$ は右辺においたままにして解いていくのがおすすめです。たぶんこういうやり方って、このあたりで初めて見るのかもしれません。最初はとまどうと思いますが、1次関数で $b$ を求めるときは、このやり方のほうがミスが少ないです。だからこれがおすすめです。まあどうしてもなじめなかったら由緒正しく $b$ を左辺にもってって解いてもいいです。
ともかく、これでめでたく $a=-\cfrac{1}{2}$ , $b=4$ というふうに、$a$ と $b$ が求められました。じゃあ答えを書きましょう。
$$y=-\cfrac{1}{2}x+4$$
(4) 傾きが $3$ で、 $x=2$ のとき $y=-2$ となる1次関数の式を求めなさい。
答え
$y=3x-8$
「直線の式を求めよ」「1次関数の式を求めよ」「1次関数であるとき、$y$ を $x$ の式で表せ」といわれたら、答えの形は $y=ax+b$ で、 $a$ と $b$ を求めるのが目標になります。
傾きというのは $a$ のことです。だから $a=3$ です。これを $y=ax+b$ に代入します。すると
$$y=3x+b$$
となります。 $x=2$ , $y=-2$ をこの $y=3x+b$ に代入して、 $b$ を求めます。
\begin{eqnarray*}
-2&=&3×2+b\\
-2&=&6+b\\
-2-6&=&b\\
-8&=&b
\end{eqnarray*}
これで $a=3$ , $b=-8$ というふうに、$a$ と $b$ が求められました。じゃあ答えを書きましょう。
$$y=3x-8$$
(5) \(\cfrac{yの増加量\phantom{増加}}{xの増加量\phantom{増加}}\) が $\cfrac{1}{3}$ で、点 $(6,-2)$ を通る1次関数の式を求めなさい。
答え
$y=\cfrac{1}{3}x-4$
「直線の式を求めよ」「1次関数の式を求めよ」「1次関数であるとき、$y$ を $x$ の式で表せ」といわれたら、答えの形は $y=ax+b$ で、 $a$ と $b$ を求めるのが目標になります。
\(\cfrac{yの増加量\phantom{増加}}{xの増加量\phantom{増加}}\)というのは1次関数のときは $a$ のことです。だから $a=\cfrac{1}{3}$ です。これを $y=ax+b$ に代入します。すると
$$y=\cfrac{1}{3}x+b$$
となります。 $x=6$ , $y=-2$ をこの $y=\cfrac{1}{3}x+b$ に代入して、 $b$ を求めます。
\begin{eqnarray*}
-2&=&\cfrac{1}{3}×6+b\\
-2&=&2+b\\
-2-2&=&b\\
-4&=&b
\end{eqnarray*}
これで $a=\cfrac{1}{3}$ , $b=-4$ というふうに、$a$ と $b$ が求められました。じゃあ答えを書きましょう。
$$y=\cfrac{1}{3}x-4$$
(6) $x$ の値が $4$ 増加すると $y$ の値が $12$ 増加し、$x=3$ のとき $y=8$ となる直線の式を求めなさい。
答え
$y=3x-1$
「直線の式を求めよ」「1次関数の式を求めよ」「1次関数であるとき、$y$ を $x$ の式で表せ」といわれたら、答えの形は $y=ax+b$ で、 $a$ と $b$ を求めるのが目標になります。
1次関数のときは \(a=\cfrac{yの増加量\phantom{増加}}{xの増加量\phantom{増加}}\)だから、この問題の場合は $a=\cfrac{12}{4}=3$ となります。これを $y=ax+b$ に代入すると
$$y=3x+b$$
となります。 $x=3$ , $y=8$ をこの $y=3x+b$ に代入して、 $b$ を求めます。
\begin{eqnarray*}
8&=&3×3+b\\
8&=&9+b\\
8-9&=&b\\
-1&=&b
\end{eqnarray*}
これで $a=3$ , $b=-1$ というふうに、$a$ と $b$ が求められました。じゃあ答えを書きましょう。
$$y=3x-1$$
(7) 直線 $y=\cfrac{2}{3}x-5$ に平行で、点$(3,-2)$ を通る直線の式を求めなさい。
答え
$y=\cfrac{2}{3}x-4$
「直線の式を求めよ」「1次関数の式を求めよ」「1次関数であるとき、$y$ を $x$ の式で表せ」といわれたら、答えの形は $y=ax+b$ で、 $a$ と $b$ を求めるのが目標になります。
傾きが等しいとき、2直線は平行になります。$y=\cfrac{2}{3}x-5$ に平行ということは、求めたい直線の傾きは $\cfrac{2}{3}$ だということになります。つまり $a=\cfrac{2}{3}$ です。これを $y=ax+b$ に代入すると
$$y=\cfrac{2}{3}x+b$$
となります。 $x=3$ , $y=-2$ をこの $y=\cfrac{2}{3}x+b$ に代入して、 $b$ を求めます。
\begin{eqnarray*}
-2&=&\cfrac{2}{3}×3+b\\
-2&=&2+b\\
-2-2&=&b\\
-4&=&b
\end{eqnarray*}
これで $a=\cfrac{2}{3}$ , $b=-4$ というふうに、$a$ と $b$ が求められました。じゃあ答えを書きましょう。
$$y=\cfrac{2}{3}x-4$$
(8) $y$ 切片が $1$ で、点$(2,5)$ を通る1次関数の式を求めなさい。
答え
$y=2x+1$
「直線の式を求めよ」「1次関数の式を求めよ」「1次関数であるとき、$y$ を $x$ の式で表せ」といわれたら、答えの形は $y=ax+b$ で、 $a$ と $b$ を求めるのが目標になります。
$y$ 切片というのは $b$ のことです。だから $b=1$ です。これを $y=ax+b$ に代入します。すると
$$y=ax+1$$
となります。 $x=2$ , $y=5$ をこの $y=ax+1$ に代入して、 $a$ を求めます。
\begin{eqnarray*}
5&=&2a+1\\
-2a&=&1-5\\
-2a&=&-4\\
a&=&2
\end{eqnarray*}
これで $a=2$ , $b=1$ というふうに、$a$ と $b$ が求められました。じゃあ答えを書きましょう。
$$y=2x+1$$
(9) $2$ 点$(-6,5),(1,-9)$ を通る直線の式を求めなさい。
答え
$y=-2x-7$
「直線の式を求めよ」「1次関数の式を求めよ」「1次関数であるとき、$y$ を $x$ の式で表せ」といわれたら、答えの形は $y=ax+b$ で、 $a$ と $b$ を求めるのが目標になります。
$2$ 点を通る直線の式をきかれたときは、
$$a=\cfrac{y_2-y_1}{x_2-x_1}$$
という公式を使って $a$ を求めましょう。
$2$ 点の座標 $(-6,5),(1,-9)$ を $(x_1,y_1),(x_2,y_2)$ だということにして、上の公式にあてはめると、
\begin{eqnarray*}
a&=&\cfrac{y_2-y_1}{x_2-x_1}\\
&=&\cfrac{-9-5}{1-(-6)}\\
&=&\cfrac{-14}{7}\\
&=&-2\\
\end{eqnarray*}
これで $a=-2$ だということがわかりました。これを $y=ax+b$ に代入して、
$$y=-2x+b$$
ここに、 $(-6,5),(1,-9)$ のどちらかを代入して $b$ を求めます。代入するのはどっちでもよいです。計算さえまちがえなければ、どっちをいれても答えは同じになります。だから、計算がラクそうなほうをいれるのが得。今回は、 $(1,-9)$ のほうをいれてみましょう。
\begin{eqnarray*}
-9&=&-2×1+b\\
-9&=&-2+b\\
-9+2&=&b\\
-7&=&b
\end{eqnarray*}
これで $a=-2$ , $b=-7$ というふうに、$a$ と $b$ が求められました。じゃあ答えを書きましょう。
$$y=-2x-7$$
ところで、この問題に関してはもうひとつ、連立方程式をたてて $a$ と $b$ を求めていく、という定番のやり方があります。ここで紹介しているやり方と、連立方程式をたてるのと、両方ためして、好きなほうでやってください。連立方程式をたててやるやり方は、次の問題で説明します。
(10) $x=2$ のとき $y=5$ で、$x=4$ のとき $y=11$ となる1次関数の式を求めなさい。
答え
$y=3x-1$
「直線の式を求めよ」「1次関数の式を求めよ」「1次関数であるとき、$y$ を $x$ の式で表せ」といわれたら、答えの形は $y=ax+b$ で、 $a$ と $b$ を求めるのが目標になります。
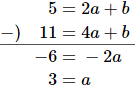
$y=ax+b$ に $x=2,y=5$ を代入すると
$$5=2a+b$$
$y=ax+b$ に $x=4,y=11$ を代入すると
$$11=4a+b$$
こうしてできたふたつの式を連立させて解きます。引き算をすれば $b$ が消えます。

$a=3$ を $5=2a+b$ に代入して $b$ を求めます。
\begin{eqnarray*}
5&=&2×3+b\\
5&=&6+b\\
5-6&=&b\\
-1&=&b
\end{eqnarray*}
これで $a=3$ , $b=-1$ というふうに、$a$ と $b$ が求められました。じゃあ答えを書きましょう。
$$y=3x-1$$
ところで、この問題に関してはもうひとつ、前の問題で説明した $a=\cfrac{y_2-y_1}{x_2-x_1}$ という公式を使って、まず $a$ を求めてしまう、というやり方でもいけます。どっちでもいけます。テストのときは好きなほうでやってください。
(11) $y$ が $x$ の1次関数であるとき、表のア~ウにあてはまる数をこたえなさい。また、$y$ を $x$ の式で表しなさい。
\begin{array}{c|ccccc}
\hline
x & -9 & -3 & イ & 6 & ウ \\
\hline
y & -9 & ア & -6 & -4 & 0 \\
\hline
\end{array}
答え
ア…$-7$, イ…$0$, ウ…$18$, 式 $y=\cfrac{1}{3}x-6$
まず、$y$ を $x$ の式で表してしまいましょう。そのために、$x$ と $y$ がわかっている組を $2$ 組、見つけます。必ず $2$ 組はあるはずです。この問題の場合は、$x=-9$ のとき $y=-9$, $x=6$ のとき $y=-4$ というのがありますね。これで $a$ を求めることができます。$(-9, -9), (6, -4)$ だと思ってもいいです。$a$ が求まりますよね?
$a=\cfrac{y_2-y_1}{x_2-x_1}$ を使って、
$a=\cfrac{-4-(-9)}{6-(-9)}=\cfrac{5}{15}=\cfrac{1}{3}$
$y=\cfrac{1}{3}x+b$ に $(6,-4)$ を代入して、
\begin{eqnarray*}
-4&=&\cfrac{1}{3}\times6+b\\
-4&=&2+b\\
-6&=&b
\end{eqnarray*}
これで、式は $y=\cfrac{1}{3}x-6$ だと求められました。あとはアとイとウをだしていきましょう。
アは $x=-3$ のときの $y$ の値のことだから、
\begin{eqnarray*}
y&=&\cfrac{1}{3}\times(-3)-6=-1-6=-7
\end{eqnarray*}
イは $y=-6$ のときの $x$ の値のことだから、
\begin{eqnarray*}
-6&=&\cfrac{1}{3}x-6 \quad(両辺に\times3)\\
-18&=&x-18\\
0&=&x
\end{eqnarray*}
ウは $y=0$ のときの $x$ の値のことだから、
\begin{eqnarray*}
0&=&\cfrac{1}{3}x-6 \quad(両辺に\times3)\\
0&=&x-18\\
18&=&x
\end{eqnarray*}
これですべて求まりました。答えを書きましょう。
ア…$-7$, イ…$0$, ウ…$18$, 式 $y=\cfrac{1}{3}x-6$
(12) 1次関数 $y=-2x+4$ について、$x$ の変域が $-1 \leqq x \leqq 2$ のとき、$y$ の変域を求めなさい。
答え
$0 \leqq y \leqq 6$
「$x$ の変域が $a \leqq x \leqq b$ のとき、$y$ の変域を求めなさい。」というお決まりの問題があって、こうきかれたときは、答えの形はこうです。 $$小 \leqq y \leqq 大$$ んで、小と大にそれぞれ、小さい数と大きい数を書いておけばいいです。小さい数と大きい数っていうのは、 $-1 \leqq x \leqq 2$ の $-1$ と $2$ をそれぞれ問題の $y=-2x+4$ の $x$ に代入してえられる数です。じゃあまず、 $x=-1$ を $y=-2x+4$ に代入します。 \begin{eqnarray*} y&=&-2×(-1)+4\\ &=&2+4\\ &=&6\\ \end{eqnarray*} 次に、 $x=2$ を $y=-2x+4$ に代入します。 \begin{eqnarray*} y&=&-2×2+4\\ &=&-4+4\\ &=&0\\ \end{eqnarray*} これで、$6$ と $0$ というふたつの数がえられました。これを小と大にあてはめればよいです。じゃあ答えを書きましょう。$$0 \leqq y \leqq 6$$ これでOKです。ただし、 $y$ の変域をきかれたときのこのやり方は、3年生で習う「2乗に比例する関数$y=ax^2$」では通用しないから気をつけてください。
(13) 下の直線の式を求めなさい。

答え
$y=3x+3$

「直線の式を求めよ」「1次関数の式を求めよ」といわれたら、答えの形は $y=ax+b$ で、 $a$ と $b$ を求めるのが目標になります。
このグラフは右に$1$歩いって縦に$3$ 歩いっています。傾き $a=\cfrac{縦}{右}$ だから、
$$a=\cfrac{3}{1}=3$$
それから、このグラフは $y$ 軸の $3$ を通っています。切片 $b$ は $y$ 軸のどこを通っているか、ということだから、
$$b=3$$
これで $a=3$ , $b=3$ というふうに、$a$ と $b$ が求められました。じゃあ答えを書きましょう。
$$y=3x+3$$
(14) 下の直線の式を求めなさい。
答え
$y=-x-2$

「直線の式を求めよ」「1次関数の式を求めよ」といわれたら、答えの形は $y=ax+b$ で、 $a$ と $b$ を求めるのが目標になります。
このグラフは右に$1$歩いって縦に$-1$ 歩いっています。傾き $a=\cfrac{縦}{右}$ だから、
$$a=\cfrac{-1}{1}=-1$$
それから、このグラフは $y$ 軸の $-2$ を通っています。切片 $b$ は $y$ 軸のどこを通っているか、ということだから、
$$b=-2$$
これで $a=-1$ , $b=-2$ というふうに、$a$ と $b$ が求められました。じゃあ答えを書きましょう。
$$y=-x-2$$
(15) 下の①,②の直線の式を求めなさい。
答え
① $y=3$ ② $x=-2$
① $x$軸に平行な直線のときはちょっと特別で、答えの形は $y=n$ です。この直線は $y$ 軸の $3$ を通っていて、$x$軸に平行な直線だから、答えは
$$y=3$$
② $y$ 軸に平行な直線のときもちょっと特別で、答えの形は $x=n$ です。この直線は $x$軸の $-2$ を通っていて、$y$ 軸に平行な直線だから、答えは
$$x=-2$$
(16) 次の1次関数のグラフをかきなさい。
① $y=-\cfrac{1}{2}x+2$
② $-2x+3y=-6$
答え
① 傾きが $-\cfrac{1}{2}$ で切片が $2$ のグラフです。
② このままでは傾きや切片がわかりません。こういうときは、$y$ について解きます。
\begin{eqnarray*}
-2x+3y&=&-6\\
3y&=&2x-6\\
y&=&\cfrac{2}{3}x-\cfrac{6}{3}\\
y&=&\cfrac{2}{3}x-2
\end{eqnarray*}
これで傾きが $\cfrac{2}{3}$ で切片が $-2$ だとわかりました。そのグラフをかきましょう。
(17) 次の連立方程式の解を、グラフをかいて求めなさい。
\begin{eqnarray*}
\left\{
\begin{array}{l}
2x-y=4\\
2x+3y=12
\end{array}
\right.
\end{eqnarray*}
答え
\begin{eqnarray*}
\left\{
\begin{array}{l}
x=3\\
y=2
\end{array}
\right.
\end{eqnarray*}
加減法や代入法を使って解いてしまうこともできますが、それだとテストのとき点数はもらえません。グラフをかいていなければダメです。というわけでグラフをかきます。このままでは傾きや切片がわかりませんので、こういうときは、それぞれの式を $y$ について解きます。
\begin{eqnarray*}
2x-y&=&4\\
-y&=&-2x+4\\
y&=&2x-4
\end{eqnarray*}
\begin{eqnarray*}
2x+3y&=&12\\
3y&=&-2x+12\\
y&=&\cfrac{-2}{3}x+\cfrac{12}{3}\\
y&=&-\cfrac{2}{3}x+4
\end{eqnarray*}
こうしてできた $2$ つの式をおなじグラフ上にかいて、その交点を座標を答えればいいです。交点の座標は点$(3, \ 2)$ ですね。$x=3, \ y=2$ が解です。
(18) 下の直線の式を求めなさい。
答え
$y=\cfrac{1}{2}x-\cfrac{3}{2}$

「直線の式を求めよ」「1次関数の式を求めよ」といわれたら、答えの形は $y=ax+b$ で、 $a$ と $b$ を求めるのが目標になります。
このグラフは右に$2$歩いって縦に$1$ 歩いっています。傾き $a=\cfrac{縦}{右}$ だから、
$$a=\cfrac{1}{2}$$
それから、このグラフは $y$ 軸のぴったりしたところを通っていません。こういうときの $b$ はどこかの座標を代入して計算で求めます。たとえばこのグラフは点$(3,0)$ を通っているから、$x=3,$ $y=0$ を、$y=\cfrac{1}{2}x+b$ に代入して $b$ を求めます。
\begin{eqnarray*}
0&=&\cfrac{1}{2}×3+b\\
0&=&\cfrac{3}{2}+b\\
-\cfrac{3}{2}&=&b\\
\end{eqnarray*}
これで $a=\cfrac{1}{2}$ , $b=-\cfrac{3}{2}$ というふうに、$a$ と $b$ が求められました。じゃあ答えを書きましょう。
$$y=\cfrac{1}{2}x-\cfrac{3}{2}$$
今回は点$(3,0)$ を代入して $b$ を求めたけれど、$(1,-1)$でも$(5,1)$でも$(-1,-2)$でもどこでもいいです。どこをいれても $b=-\cfrac{3}{2}$ になります。
(19) 2つの直線 $y=2x+5$ と $y=-3x-5$ の交点の座標を求めなさい。
答え
$(-2,1)$
2直線の交点の座標は連立方程式の解です。
連立方程式\begin{eqnarray*}
\left\{
\begin{array}{l}
y=2x+5\\
y=-3x-5
\end{array}
\right.
\end{eqnarray*}
を解いて、その解がこの問題の答えです。代入法で、
(上の式の右辺)=(下の式の右辺)という式をたてて解いていきましょう。
\begin{eqnarray*}
2x+5&=&-3x-5\\
2x+3x&=&-5-5\\
5x&=&-10\\
x&=&-2\\
\end{eqnarray*}
$y=2x+5$ に $x=-2$ を代入して $y$ を求めます。
\begin{eqnarray*}
y&=&2×(-2)+5\\
&=&-4+5\\
&=&1\\
\end{eqnarray*}
これで $x=-2$ , $y=1$ というふうに、解が求められました。じゃあ答えを書きましょう。
$$(-2,1)$$
この問題は「座標を求めよ」といわれているのだから、座標の書きかたで答えるようにしましょう。
(20) 下の2つの直線の交点の座標を求めなさい。
答え
$\left(-\cfrac{5}{4},-\cfrac{3}{4}\right)$

2直線の交点の座標は連立方程式の解です。まず、2つの直線の式をグラフから求めます。(ア)(イ)の直線の式はそれぞれ
$$y=3x+3\qquad{(ア)}$$
$$y=-x-2\qquad{(イ)}$$
もしわからなかったら、13番と14番の問題で出題した直線なので、それを確認してください。
んで、だからこの問題に答えるには、連立方程式
\begin{eqnarray*}
\left\{
\begin{array}{l}
y=3x+3\\
y=-x-2
\end{array}
\right.
\end{eqnarray*}
を解けばいいです。代入法で、
(ア)の式の右辺=(イ)の式の右辺
という式をたてて解いていきましょう。
\begin{eqnarray*}
3x+3&=&-x-2\\
3x+x&=&-2-3\\
4x&=&-5\\
x&=&-\cfrac{5}{4}\\
\end{eqnarray*}
$y=3x+3$ に $x=-\cfrac{5}{4}$ を代入して $y$ を求めます。
\begin{eqnarray*}
y&=&3×(-\cfrac{5}{4})+3\\
&=&-\cfrac{15}{4}+\cfrac{12}{4}\\
&=&-\cfrac{3}{4}\\
\end{eqnarray*}
これで $x=-\cfrac{5}{4}$ , $y=-\cfrac{3}{4}$ というふうに、解が求められました。じゃあ答えを書きましょう。
$$\left(-\cfrac{5}{4},-\cfrac{3}{4}\right)$$
この問題の答えは整数にはなりません。交点はぴったりとしたカドにはないからです。答えは分数になるはず。そう思って解いていきましょう。
このへんからちょっと難易度があがります。こりゃムリだ、というひとは、(1)番から(20)番までの問題を繰り返して、確実にできるようになりましょう。
しんどいけどやり通す、というひとはここから先へ進みましょう。がんばって!
(21) 右の図で、直線 $l$ , $m$ の式はそれぞれ $y=\cfrac{2}{3}x+3$ , $y=-x-2$ である。直線$l$ と $y$ 軸との交点を$A$ とし、直線$m$ と $y$ 軸との交点を$B$ とする。また、直線$l$ と直線$m$ との交点を$P$ とする。このとき、$\triangle PAB$の面積を求めなさい。
答え
$\cfrac{15}{2}$
$P$を通る$AB$の垂線と$AB$との交点を$C$とします。
三角形の面積=底辺×高さ×$\cfrac{1}{2}$ 。底辺を$AB$、高さを$PC$ということにして求めていきましょう。
まず底辺$AB$の長さから。$A$の$y$座標は$y=\cfrac{2}{3}x+3$の切片だから$3$。$B$の$y$座標は$y=-x-2$の切片だから$-2$。だから$AB=5$。
つぎに高さ$PC$。これをだすために$P$の座標を求めます。$P$は直線$l$ と直線$m$との交点だから、直線$l$ と直線$m$を連立させて解きます。
\begin{eqnarray*}
\left\{
\begin{array}{l}
y=\cfrac{2}{3}x+3\\
y=-x-2
\end{array}
\right.
\end{eqnarray*}
代入法で、(上の式の右辺)=(下の式の右辺)という式をたてると、
\begin{eqnarray*}
\cfrac{2}{3}x+3&=&-x-2\qquad(×3)\\
2x+9&=&-3x-6\\
2x+3x&=&-6-9\\
5x&=&-15\\
x&=&-3\\
\end{eqnarray*}
$y=-x-2$ に $x=-3$ を代入して $y$ を求めます。
\begin{eqnarray*}
y&=&-1×(-3)-2\\
&=&3-2\\
&=&1\\
\end{eqnarray*}
これで $P$の座標は$(-3,1)$ というふうに求められました。高さ$PC$の長さはこれの$x$座標をみればいいから$PC=3$。
これで底辺と高さがわかりました。面積をだしましょう。
$$5×3×\cfrac{1}{2}=\cfrac{15}{2}$$
(22) 駅から $1200m$ 離れたところに学校がある。Aさんが分速 $50m$ の速さで駅から学校へ歩いた。Aさんが出発してから $8$ 分後に、Bさんが分速 $100m$ の速さで駅から学校へ自転車で走った。下のグラフは、Aさんが進んだようすを表したものである。このグラフに、Bさんが進んだようすをかきくわえなさい。また、BさんがAさんに追いついたのは、Aさんが出発してから何分後か。
答え
$16$ 分後
〈グラフ〉
BさんはAさんが出発してから $8$ 分後に出発したわけですから、点 $(8, \ 0)$ からグラフをはじめます。
グラフをかくときは、目盛りに注意してください。$x$ 軸は $1$ 目盛りが $2$ 分です。$y$ 軸は $1$ 目盛りが $100m$ です。
Bさんの速さは分速 $100m$ なので、$2$ 分で $200m$ 進むことになります。なので、右に $1$ マスいって、上に $2$ マスいくように点をとっていきます。
〈時間〉
$2$ 直線の交点が、BさんがAさんに追いついた地点と時間を表します。なので、追いついたのは、Aさんが出発してから $16$ 分後です。
(23) 図のような長方形 $ABCD$ で、点 $P$ は辺上を点 $B$ から $A,D$ を通って $C$ まで動く。点 $P$ が辺上を点 $B$ から $xcm$ 動いたときの $\triangle PBC$ の面積を $ycm^2$ とする。
① 点 $P$ が辺 $BA$ 上にあるとき、$y$ を $x$ の式で表しなさい。また、$x$ の変域をいいなさい。
② 点 $P$ が辺 $AD$ 上にあるとき、$y$ を $x$ の式で表しなさい。また、$x$ の変域をいいなさい。
③ 点 $P$ が辺 $DC$ 上にあるとき、$y$ を $x$ の式で表しなさい。また、$x$ の変域をいいなさい。
答え
① $y=4x\qquad (0 \leqq x \leqq 6)$
② $y=24\qquad (6 \leqq x \leqq 14)$
③ $y=-4x+80\qquad (14 \leqq x \leqq 20)$
①〈式〉三角形の面積は、底辺 $\times$ 高さ $\times\cfrac{1}{2}$ です。底辺を $BC$、高さを$PB$ ということにして、$y$ を $x$ で表します。
$BC$ の長さは $8$ です。
$P$ が動いた長さが $x$ なので、$PB$ の長さは $x$ です。
なので、三角形 $y$ の面積は、$y=8\times x \times \cfrac{1}{2}=4x$ となります。
〈変域〉
$P$ が $B$ 上にあるときは、$x=0$ です。最小値は $0$ です。$P$ が $A$ 上にきたときは、$x=6$ です。最大値は $6$ です。
②〈式〉$P$ から $BC$ におろした垂線と、$BC$ との交点を $E$ とします。底辺を $BC$、高さを$PE$ ということにして、$y$ を $x$ で表します。
$BC$ の長さは $8$ です。
$PE$ の長さは、$P$ がどこにあっても $6$ です。
なので、三角形 $y$ の面積は、$y=8 \times 6 \times\cfrac{1}{2}=24$ となります。というわけでこの場合、式に $x$ はでてこなくなってしまいます。
〈変域〉
$x$ の変域は、$P$ が $A$ 上にきたときは、$x=6$ です。最小値は $6$ です。$P$ が $D$ 上にきたときは、$x=6+8=14$ です。最大値は $14$ です。
③〈式〉
底辺を $BC$、高さを$PC$ ということにして、$y$ を $x$ で表します。
$BC$ の長さは $8$ です。
$PC$ の長さは、$20-x$ です。$x$ は $P$ が動いてきた長さです。③の図の赤い線が $x$ を表しています。$BA+AD+DC$ から $x$ をひけば、$PC$ になります。なので、$PC=6+8+6-x=20-x$ です。
なので、三角形 $y$ の面積は、
\begin{eqnarray*}
y&=&8 \times (20-x) \times\cfrac{1}{2} \quad(8\times\cfrac{1}{2}を先にやってしまう)\\
&=&4(20-x)\\
&=&80-4x\\
&=&-4x+80
\end{eqnarray*}
〈変域〉
$x$ の変域は、$P$ が $D$ 上にきたときは、$x=6+8=14$ です。最小値は $14$ です。$P$ が $C$ 上にきたときは、$x=6+8+6=20$ です。最大値は $20$ です。
(24) (23)の問題について、$x$ の変域を $0 \leqq x \leqq 20$ とするときの $x$ と $y$ の関係をグラフに表しなさい。また、$\triangle PBC$ の面積が $8cm^2$ となるときの $x$ の値を求めなさい。
答え
$x=2, \ x=18$
〈グラフ〉
変域が $0 \leqq x \leqq 6$ のときの式は $y=4x$ です。原点を通る直線です。点$(0, \ 0),$ $(6, \ 24)$ をとって定規でむすんでしまいましょう。線は点 $(6, \ 24)$ で終わりにしてください。その先をかいちゃダメです。
変域が $6 \leqq x \leqq 14$ のときの式は $y=24$ です。$x$ 軸に平行な直線になります。$(6, \ 24)$ から$ (14, \ 24)$ までを定規でむすんでしまいましょう。
変域が $14 \leqq x \leqq 20$ のときの式は $y=-4x+80$ です。直線です。点$(14, \ 24)$ と $(20, \ 0)$ をとって定規でむすんでしまいましょう。$x=20$ のときに面積が $0$ になるはず、と考えて点 $(20, \ 0)$ をとるわけです。
〈面積〉
グラフから、面積 $y$ が $8$ になるのは、$2$ か所あります。$P$ が $y=4x$ 上にあるときと、$y=-4x+80$ 上にあるときです。それぞれの式の $y$ に $8$ を代入して $x$ を求めればOKです。
$P$ が $y=4x$ 上にあるとき
\begin{eqnarray*}
8&=&4x\\
x&=&2
\end{eqnarray*}
$P$ が $y=-4x+80$ 上にあるとき
\begin{eqnarray*}
8&=&-4x+80\\
4x&=&80-8\\
4x&=&72\\
x&=&18
\end{eqnarray*}
(25) 次の表のようなインターネットの月額の料金プランがある。
\begin{array}{c|ccc}
\hline
& 基本料金 & 1分間の使用料 \\
\hline
Aプラン & 3000円 & 2円 \\
\hline
Bプラン & 500円 & 5円 \\
\hline
Cプラン & 0円 & 定額4000円 \\
\hline
\end{array}
① $1$か月に $x$ 分間使用したときの料金を $y$ 円として、それぞれのプランについて、$y$ を $x$ の式で表しなさい。
また、下のグラフは$A$プランを表したものである。このグラフに、$B$プランと$C$プランのグラフをかきくわえなさい。
② $C$ プランを利用するのがもっとも安くなるのは、何分より多く使用した場合か。
答え
①$A$プラン… $y=2x+3000$
$B$プラン… $y=5x+500$
$C$プラン… $y=4000$
②$700$分
〈グラフ〉
①<式>
$A$プランは$1$分間の使用料が$2$円で基本料金が$3000$円なので、
$y=2x+3000$
$B$プランは$1$分間の使用料が$5$円で基本料金が$500$円なので、
$y=5x+500$
①$C$プランは定額$4000$円なので、
$y=4000$
<グラフ>
$A$プランは切片が$3000$で、$500$分で$1000$円かかるグラフです。右に$5$マス進んで、縦に$2$マス進んでいるのを確認しましょう。
$B$プランは切片が$500$で、$100$分で$500$円かかるグラフです。右に$1$マス進んで、縦に$1$マス進むグラフをかきましょう。
$C$プランは切片が$4000$の横線になります。
②グラフを見て判断しましょう。$C$プランがもっとも安くなるのは、$x$が$700$のところです。
答え(中2 3章 1次関数 第1回)
(1) $y=ax+b$, 傾き, 変化の割合, $\cfrac{xの増加量\phantom{ }}{yの増加量\phantom{ }}$,
切片($y$ 切片), 右上がり, 右下がり
(2) ① $3$
② $-12$
③ $-4$
(3) $y=-\cfrac{1}{2}x+4$
(4) $y=3x-8$
(5) $y=\cfrac{1}{3}x-4$
(6) $y=3x-1$
(7) $y=\cfrac{2}{3}x-4$
(8) $y=2x+1$
(9) $y=-2x-7$
(10) $y=3x-1$
(11) ア…$-7$, イ…$0$, ウ…$18$, 式 $y=\cfrac{1}{3}x-6$
(12) $0 \leqq y \leqq 6$
(13) $y=3x+3$
(14) $y=-x-2$
(15) ① $y=3$ ② $x=-2$
(16) 右上図
(17) $
\left\{
\begin{array}{l}
x=3\\
y=2
\end{array}
\right.
$
$2$ 番目の図
(18) $y=\cfrac{1}{2}x-\cfrac{3}{2}$
(19) $(-2,1)$
(20) $\left(-\cfrac{5}{4},-\cfrac{3}{4}\right)$
(21) $\cfrac{15}{2}$
(22) $3$ 番目の図 $16$ 分後
(23) ① $y=4x\qquad (0 \leqq x \leqq 6)$
② $y=24\qquad (6 \leqq x \leqq 14)$
③ $y=-4x+80\qquad (14 \leqq x \leqq 20)$
(24) $4$ 番目の図 $x=2, \ x=18$
(25)①$A$プラン… $y=2x+3000$
$B$プラン… $y=5x+500$
$C$プラン… $y=4000$
下の図
②$700$分
