中3数学 春休みの計算 第4回 全28問
ページがちゃんと表示されるまで$10$秒くらいかかります。印刷するときは、ちょっと待ってからにしてください。
$ \boxed{\phantom{ho}}$←ここに四角形が表示されていたら準備OKです。
問題をクリックすると答えがでます。
① $(-2)-(-8)\times(-9)$
答え $-74$
\begin{eqnarray*} &&(-2)-(-8)\times(-9)\\ &=&-2+8\times(-9)\\ &=&-2-72\\ &=&-74 \end{eqnarray*}② $\cfrac{6}{5}-1+\cfrac{1}{4}$
答え $\cfrac{9}{20}$
\begin{eqnarray*} &&\cfrac{6}{5}-1+\cfrac{1}{4}\\ &=&\cfrac{24}{20}-\cfrac{20}{20}+\cfrac{5}{20}\\ &=&\cfrac{9}{20} \end{eqnarray*}③ $(-3)^2\times(-2^2)$
答え $-36$
\begin{eqnarray*} &&(-3)^2\times(-2^2)\\ &=&9\times(-4)\\ &=&-36 \end{eqnarray*}④ $(3x-6y)+(-11x+5y)$
答え $-8x-y$
\begin{eqnarray*} &&3x-6y-11x+5y\\ &=&3x-11x-6y+5y\\ &=&-8x-y \end{eqnarray*}⑤ $\left(\cfrac{1}{3}a^2-a\right)-\left(\cfrac{3}{4}a^2-\cfrac{2}{5}a\right)$
答え $-\cfrac{5}{12}a^2-\cfrac{3}{5}a$
\begin{eqnarray*} &&\cfrac{1}{3}a^2-a-\cfrac{3}{4}a^2+\cfrac{2}{5}a\\ &=&\cfrac{1}{3}a^2-\cfrac{3}{4}a^2-a+\cfrac{2}{5}a\\ &=&\cfrac{4}{12}a^2-\cfrac{9}{12}a^2-\cfrac{5}{5}a+\cfrac{2}{5}a\\ &=&-\cfrac{5}{12}a^2-\cfrac{3}{5}a \end{eqnarray*}⑥ $(-36a^2+48a-6)\div6$
答え $-6a^2+8a-1$
⑦ $(7x-21y)\div\left(-\cfrac{7}{2}\right)$
答え $-2x+6y$
\begin{eqnarray*} &&(7x-21y)\times\left(-\cfrac{2}{7}\right)\\ &=&-2x+6y \end{eqnarray*}⑧ $8(6x-2y)-7(7x-5y)$
答え $-x+19y$
\begin{eqnarray*} &&48x-16y-49x+35y\\ &=&48x-49x-16y+35y\\ &=&-x+19y \end{eqnarray*}⑨ $\cfrac{2}{3}(15x+24y)-\cfrac{4}{5}(10x-20y)$
答え $2x+32y$
\begin{eqnarray*} &&10x+16y-8x+16y\\ &=&10x-8x+16y+16y\\ &=&2x+32y \end{eqnarray*}⑩ $\cfrac{2x-7y}{8}-\cfrac{3x+y}{4}$
答え $\cfrac{-4x-9y}{8}\quad\left(-\cfrac{4x+9y}{8},-\cfrac{1}{2}x-\cfrac{9}{8}yも可\right)$
\begin{eqnarray*} &&\cfrac{(2x-7y)-2(3x+y)}{8}\\ &=&\cfrac{2x-7y-6x-2y}{8}\\ &=&\cfrac{2x-6x-7y-2y}{8}\\ &=&\cfrac{-4x-9y}{8} \end{eqnarray*}⑪ $(-3x^2)\times(-2x)^2\times(-x)^3$
答え $12x^7$
\begin{eqnarray*} &&-3x^2\times4x^2\times(-x^3)\\ &=&12x^7 \end{eqnarray*}⑫ $-45y\div(-90x^2y^2)\times4x^2$
答え $\cfrac{2}{y}$
\begin{eqnarray*} &&\cfrac{45y\times4xx}{90xxyy}\\ &=&\cfrac{2}{y} \end{eqnarray*}⑬ $-8x^2y\div\cfrac{16}{5}x^2y^2\times(-xy^2)$
答え $\cfrac{5}{2}xy$
\begin{eqnarray*} &&-\cfrac{8xxy}{1}\times\cfrac{5}{16xxyy}\times\left(-\cfrac{xyy}{1}\right)\\ &=&\cfrac{5}{2}xy \end{eqnarray*}⑭ $(x-3)(x-7)$
答え $x^2-10x+21$
\begin{eqnarray*} &&x^2+(-3-7)x+(-3)\times(-7)\\ &=&x^2-10x+21 \end{eqnarray*}⑮ $(x+4)^2$
答え $x^2+8x+16$
\begin{eqnarray*} &&x^2+2 \times x \times4+4^2\\ &=&x^2+8x+16 \end{eqnarray*}⑯ $(x+5)(x-5)$
答え $x^2-25$
\begin{eqnarray*} &&(x)^2-(5)^2\\ &=&x^2-25 \end{eqnarray*}① $-12x+4=-3(2x-3)-1$
答え $x=-\cfrac{2}{3}$
\begin{eqnarray*} -12x+4&=&-3(2x-3)-1\\ -12x+4&=&-6x+9-1\\ -12x+6x&=&9-1-4\\ -6x&=&4 \\ x&=&-\cfrac{4}{6}=-\cfrac{2}{3} \end{eqnarray*}② $\cfrac{2}{3}x-\cfrac{5}{6}=2x-\cfrac{4}{3}$
答え $x=\cfrac{3}{8}$
\begin{eqnarray*} \cfrac{2}{3}x-\cfrac{5}{6}&=&2x-\cfrac{4}{3}\quad(\times12)\\ 8x-10&=&24x-16 \\ 8x-24x&=&-16+10\\ -16x&=&-6\\ x&=&\cfrac{6}{16}=\cfrac{3}{8} \end{eqnarray*}③ $\left\{\begin{array}{l} 3x+4y=18\\ -3(x-2)-2x=-3y+5 \end{array}\right.$
答え $x=2,y=3$
\begin{eqnarray*} \left\{ \begin{array}{l} 3x+4y=18\qquad…①\\ -3(x-2)-2x=-3y+5\qquad…② \end{array} \right. \end{eqnarray*} $②を整理$ \begin{eqnarray*} -3x+6-2x&=&-3y+5\\ -3x-2x+3y&=&5-6\\ -5x+3y&=&-1\qquad…③ \end{eqnarray*} $①\times3-③\times4$ \begin{eqnarray*} 9x+12y=54\\ \underline{-) \quad -20x+12y=-4} \\ 29x\phantom{-26y}=58\\ x=2\phantom{-} \end{eqnarray*} \begin{eqnarray*} x=2を①に代入\\ 6+4y&=&18\\ 4y&=&18-6\\ 4y&=&12\\ y&=&3\\ \\ \left\{ \begin{array}{l} x=2\\ y=3 \end{array} \right. \end{eqnarray*}次の式を$[\phantom{y}]$内の文字について解きなさい。
①
$-10x=15y-3\quad[y]$
答え $y=\cfrac{-10x+3}{15}\\ \left(y=-\cfrac{10x-3}{15}, \ y=-\cfrac{2}{3}x+\cfrac{1}{5}も可\right)$
\begin{eqnarray*} -10x&=&15y-3\quad(左辺と右辺をとりかえる) \\ 15y-3&=&-10x \\ 15y&=&-10x+3\\ y&=&\cfrac{-10x+3}{15} \end{eqnarray*}次の式を$[\phantom{h}]$内の文字について解きなさい。
②
$S=\cfrac{1}{2}ah\quad[h]$
答え $h=\cfrac{2S}{a}$
\begin{eqnarray*} S&=&\cfrac{1}{2}ah\quad(左辺と右辺をとりかえる) \\ \cfrac{1}{2}ah&=&S\quad(両辺に\times2) \\ ah&=&2S \\ h&=&\cfrac{2S}{a} \end{eqnarray*}$x=-\cfrac{3}{4},\ y=6$ のとき、次の式の値を求めなさい。
③
$12x^2y^3\div(-3xy^2)$
答え $18$
\begin{eqnarray*} &&12x^2y^3\div(-3xy^2)\\ &=&-\cfrac{12xxyyy}{3xyy}\\ &=&-4xy\\ &=&-4\times\left(-\cfrac{3}{4}\right)\times6\\ &=&18 \end{eqnarray*}④ $y$ が $x$ に比例し、$x=5$ のとき、$y=-15$ である。$y$ を $x$ の式で表しなさい。
答え $y=-3x$
比例の式の形は $y=ax$ $$a=\cfrac{y}{x}=\cfrac{-15}{5}=-3$$⑤ $y$ が $x$ に反比例し、$x=5$ のとき、$y=-15$ である。$y$ を $x$ の式で表しなさい。
答え $y=-\cfrac{75}{x}$
反比例の式の形は $y=\cfrac{a}{x}$ $$a=x \times y=5\times(-15)=-75$$⑥ 傾きが $-3$ で、点 $(-2,\ 5)$ を通る直線の式を求めなさい。
答え $y=-3x-1$
直線の式の形は $y=ax+b$傾きが $-3$ なので$a=-3$
$y=-3x+b$ に $x=-2,\ y=5$ を代入 \begin{eqnarray*} 5&=&-3\times(-2)+b\\ 5&=&6+b\\ 5-6&=&b\\ -1&=&b \end{eqnarray*}
⑦ $2$ 点 $(-1,\ -5),\ (2,\ 4)$ を通る直線の式を求めなさい。
答え $y=3x-2$
直線の式の形は $y=ax+b$ \begin{eqnarray*} a&=&\cfrac{y_2-y_1}{x_2-x_1}\\ &=&\cfrac{4-(-5)}{2-(-1)}=\cfrac{9}{3}=3\\ \end{eqnarray*} $y=3x+b$ に $x=2,\ y=4$ を代入 \begin{eqnarray*} 4&=&3\times2+b\\ 4&=&6+b\\ 4-6&=&b\\ -2&=&b \end{eqnarray*}⑧ $2$ 個のサイコロを投げるとき、出る目の和が $5$ の倍数になる確率を求めなさい。
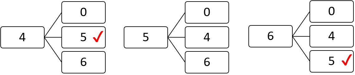
⑨ $\boxed{\large{\ 0\ }}$$\boxed{\large{\ 4\ }}$$\boxed{\large{\ 5\ }}$$\boxed{\large{\ 6\ }}$ と数字のかかれたカードが全部で $4$ 枚ある。この中から $2$ 枚のカードを抜き取ってならべ、$2$ けたの整数をつくるとき、奇数となる確率を求めなさい。
答え
$\boxed{\large{\ 1\ }}①-74②\cfrac{9}{20}③-36④-8x-y⑤-\cfrac{5}{12}a^2-\cfrac{3}{5}a\\ ⑥-6a^2+8a-1⑦-2x+6y⑧-x+19y⑨2x+32y\\ ⑩\cfrac{-4x-9y}{8}\quad\left(-\cfrac{4x+9y}{8},-\cfrac{1}{2}x-\cfrac{9}{8}yも可\right)\\ ⑪12x^7⑫\cfrac{2}{y}⑬\cfrac{5}{2}xy⑭x^2-10x+21\\ ⑮x^2+8x+16⑯x^2-25\\ \boxed{\large{\ 2\ }}①x=-\cfrac{2}{3}②x=\cfrac{3}{8}③x=2,y=3\\ \boxed{\large{\ 3\ }}①y=\cfrac{-10x+3}{15}\\ \left(y=-\cfrac{10x-3}{15}, \ y=-\cfrac{2}{3}x+\cfrac{1}{5}も可\right)②h=\cfrac{2S}{a}\\ ③18④y=-3x⑤y=-\cfrac{75}{x}⑥y=-3x-1\\ ⑦y=3x-2⑧\cfrac{7}{36}⑨\cfrac{2}{9} $

赤でチェックしたところが奇数。